
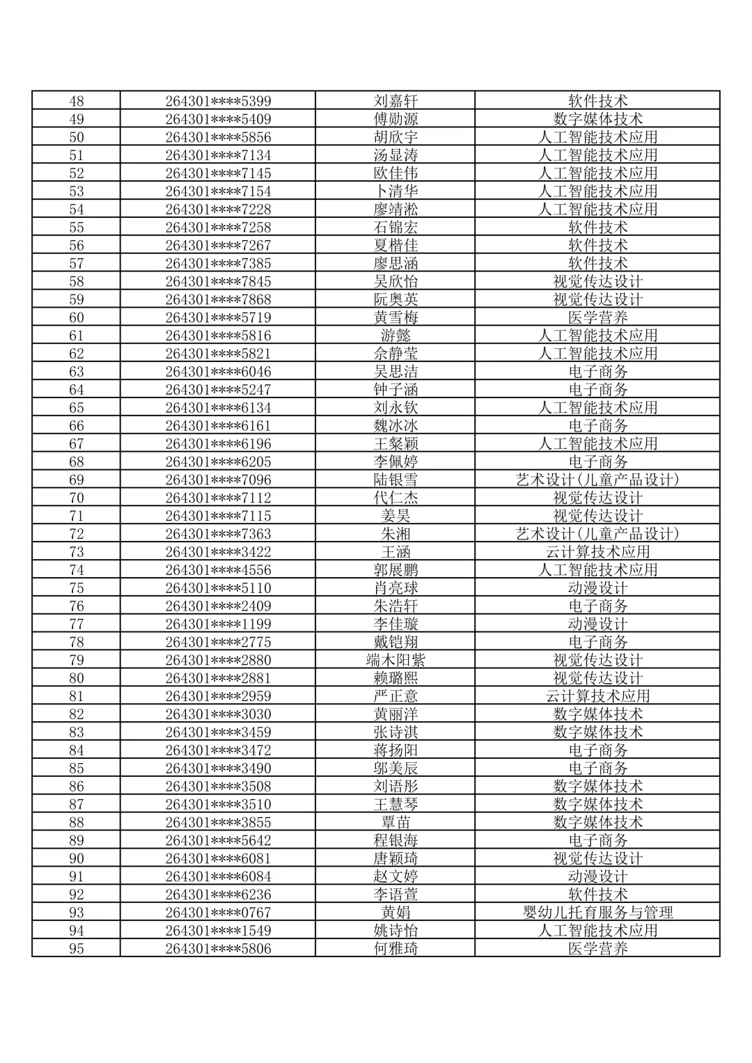
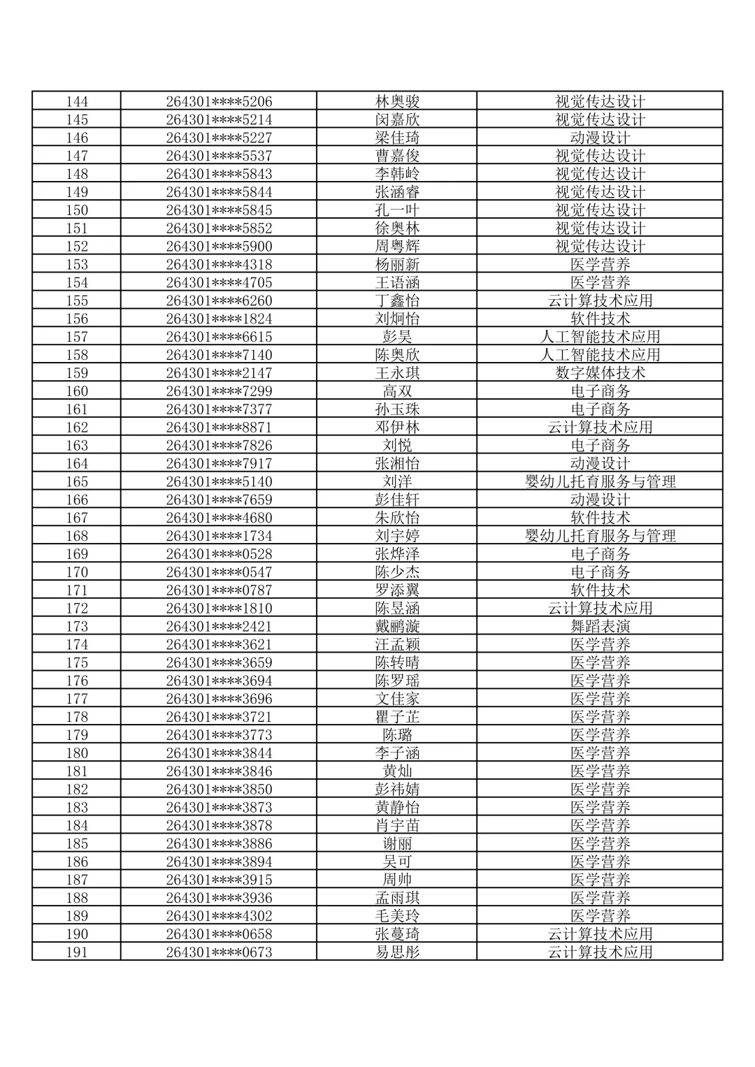
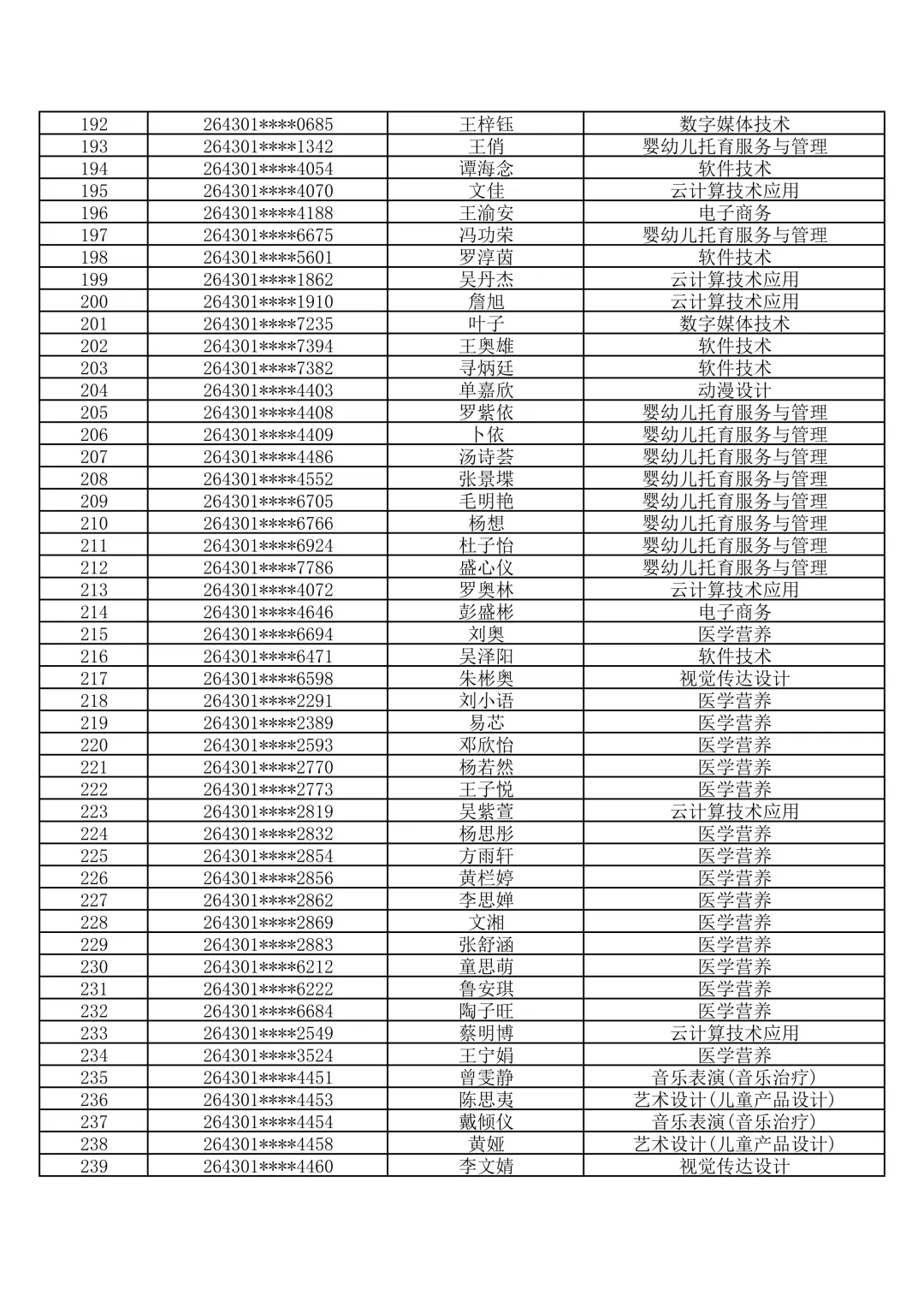
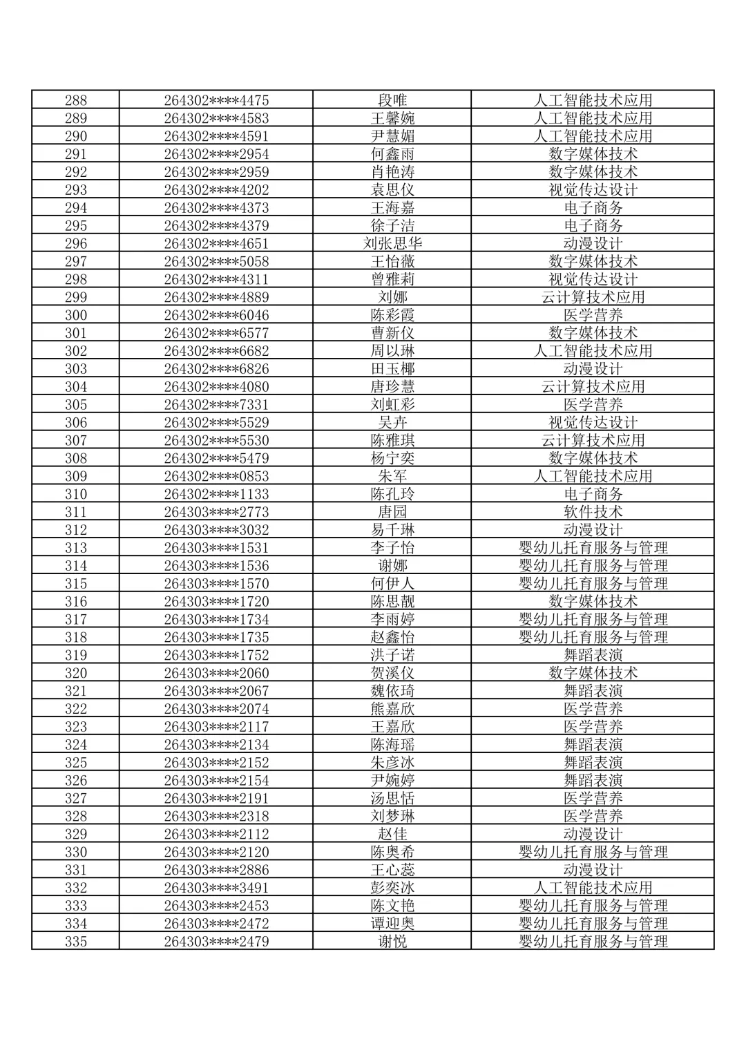
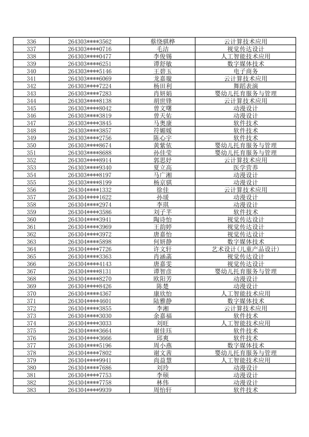
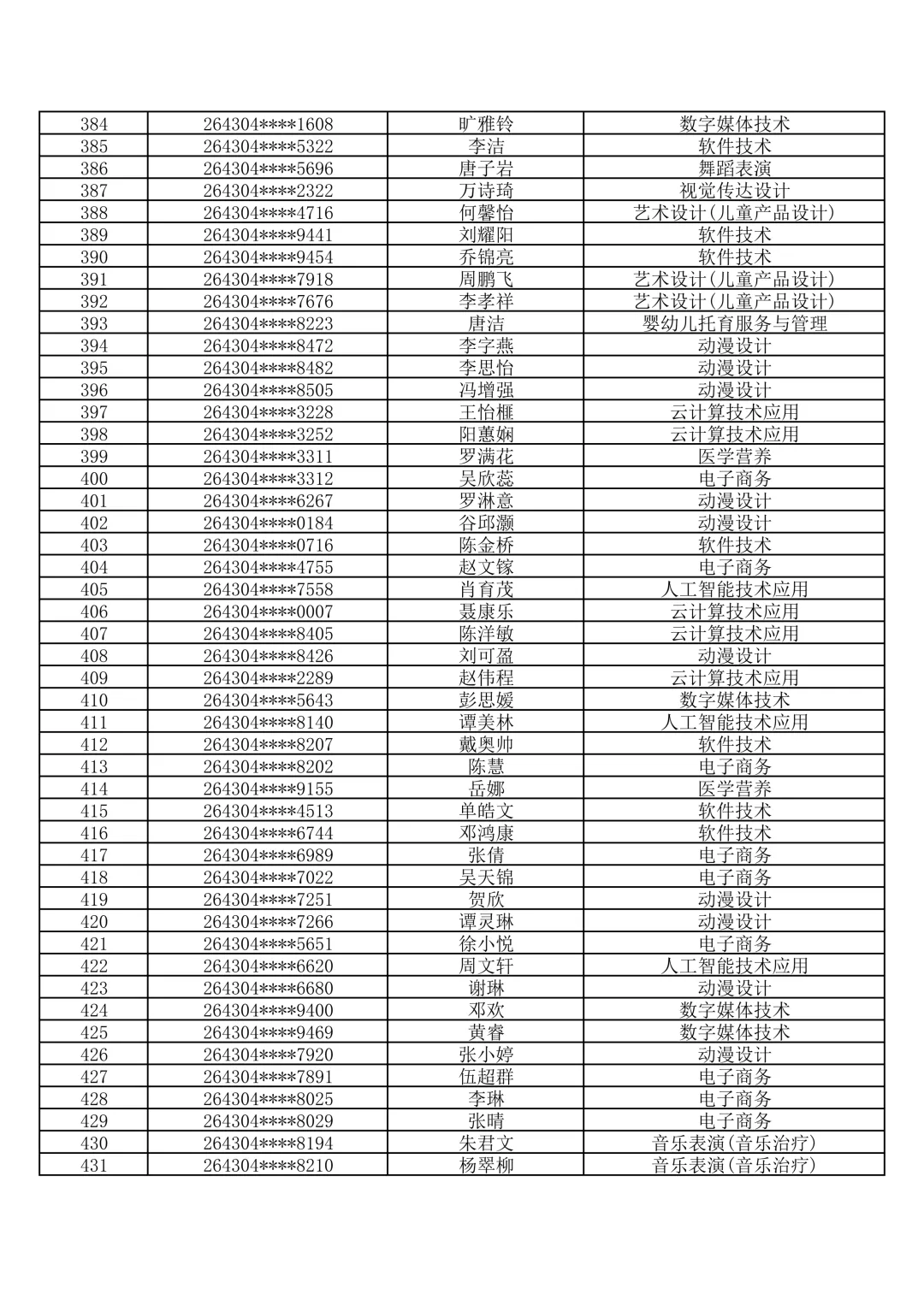
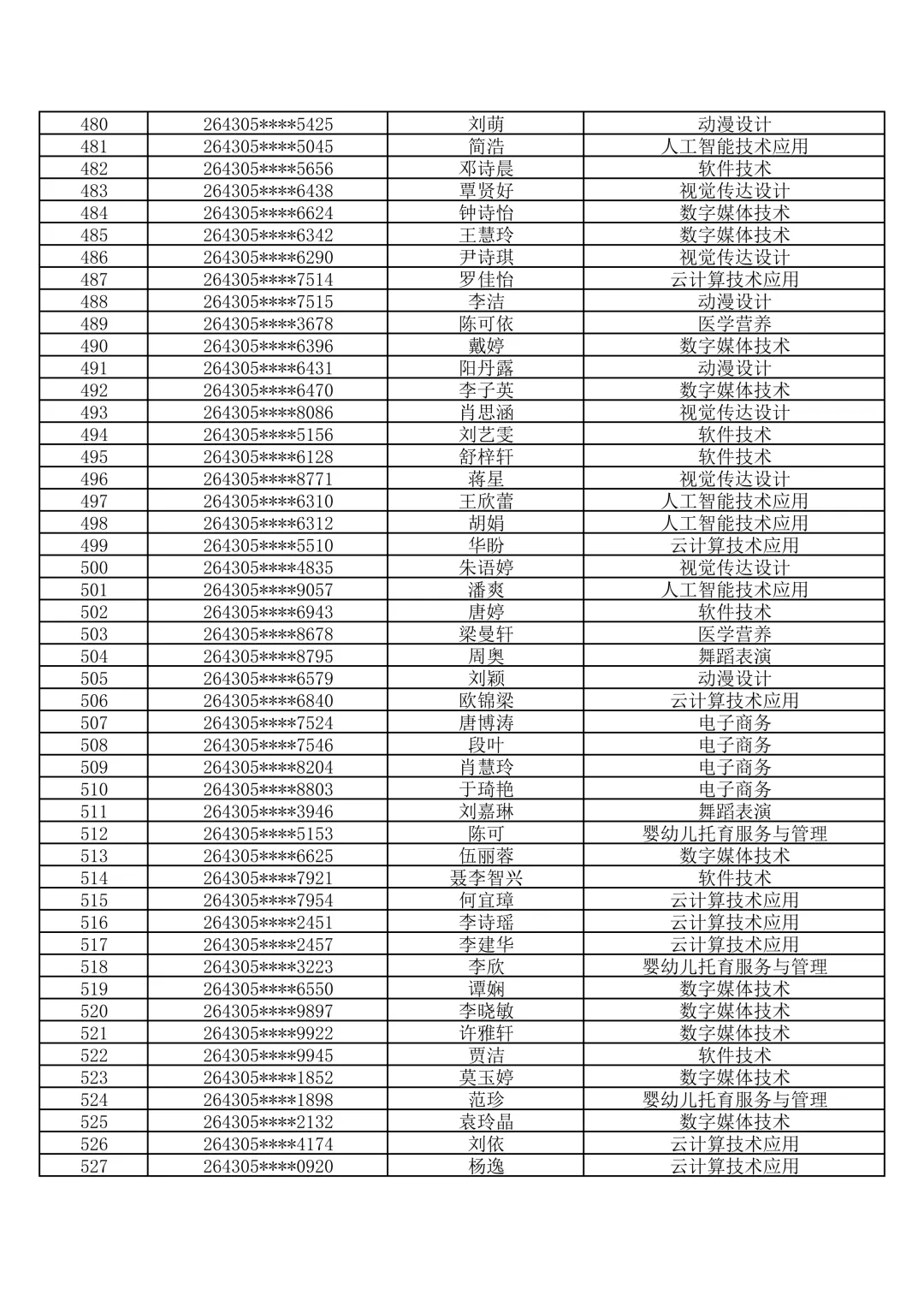
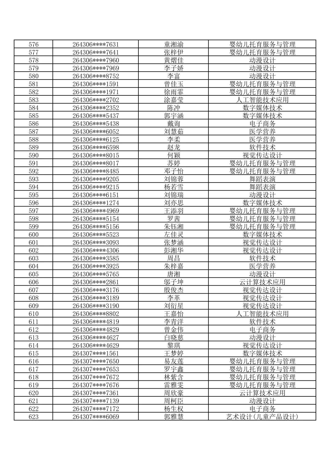
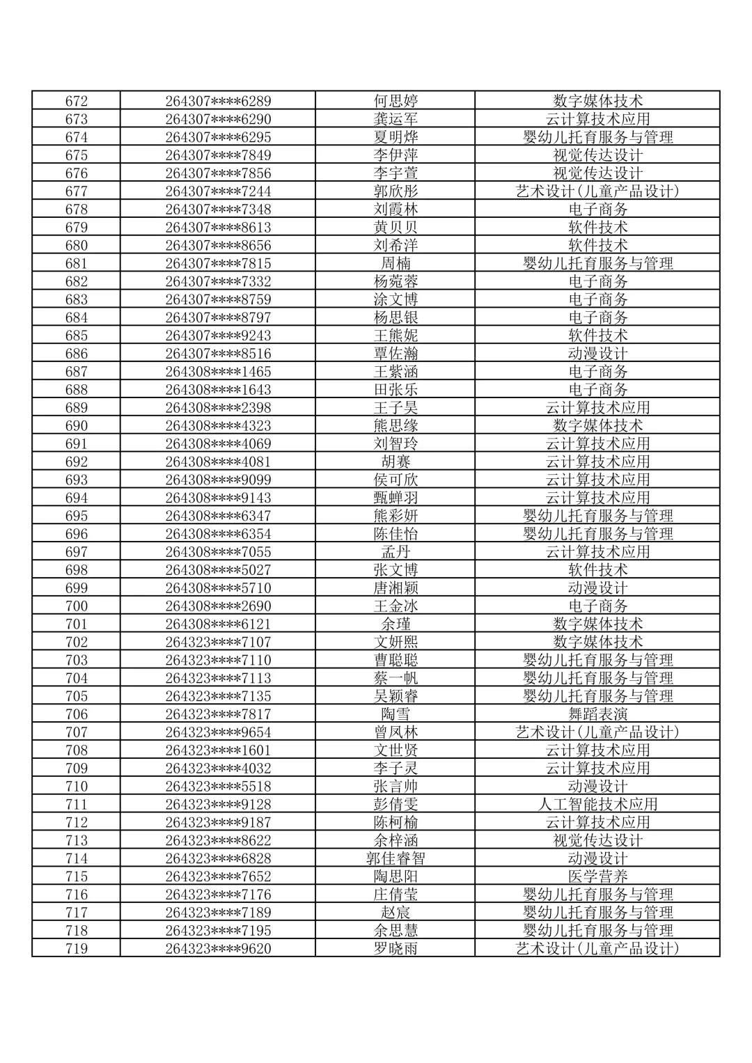
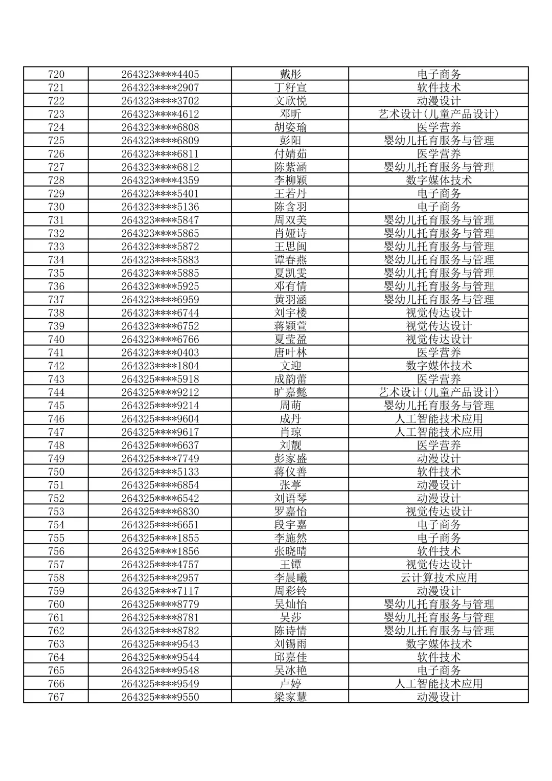
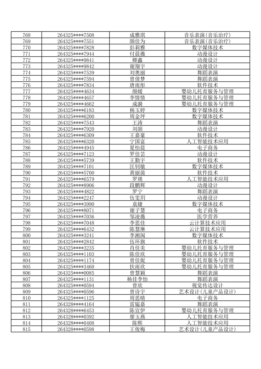
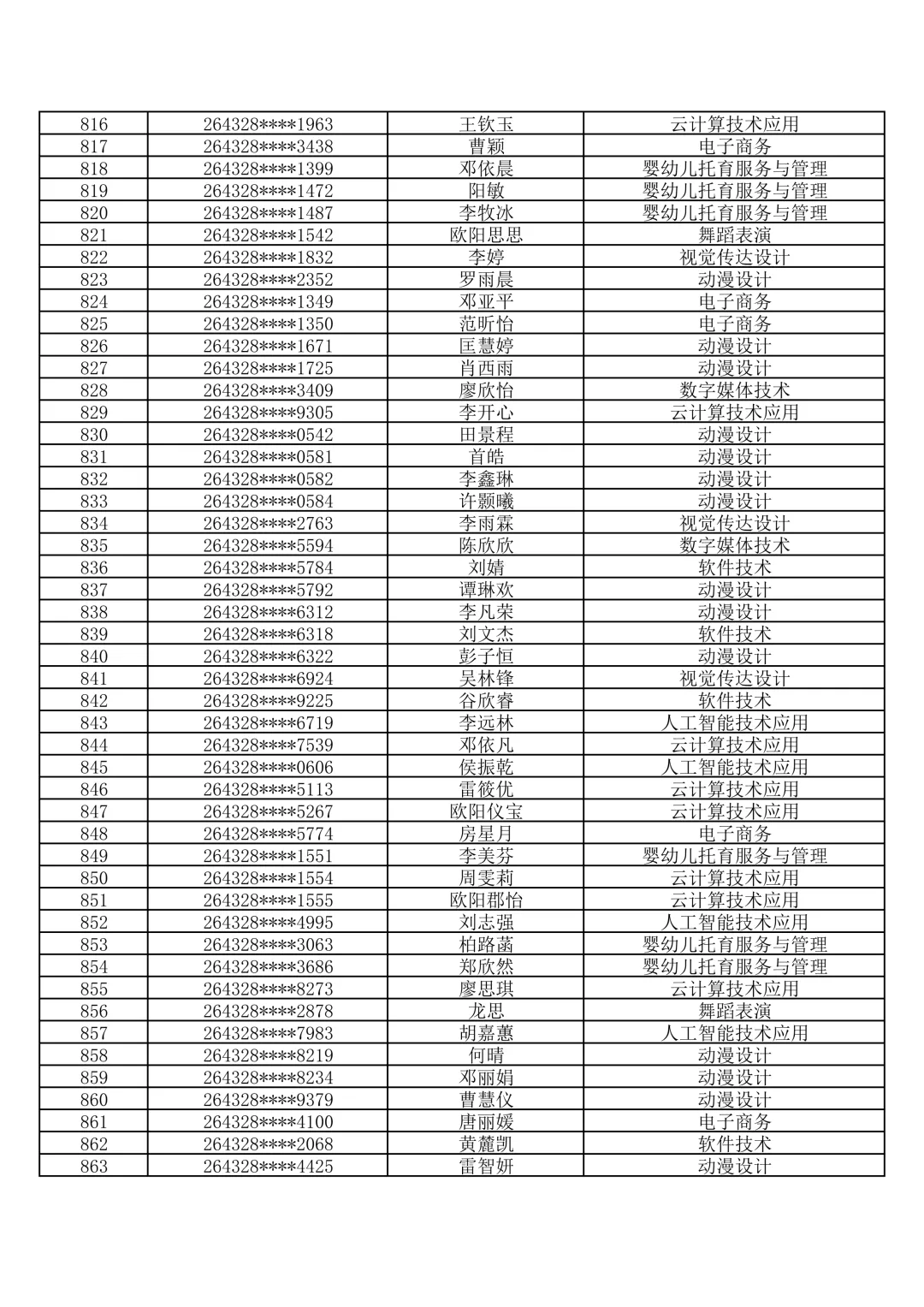
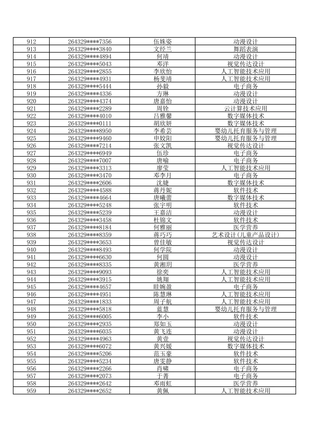
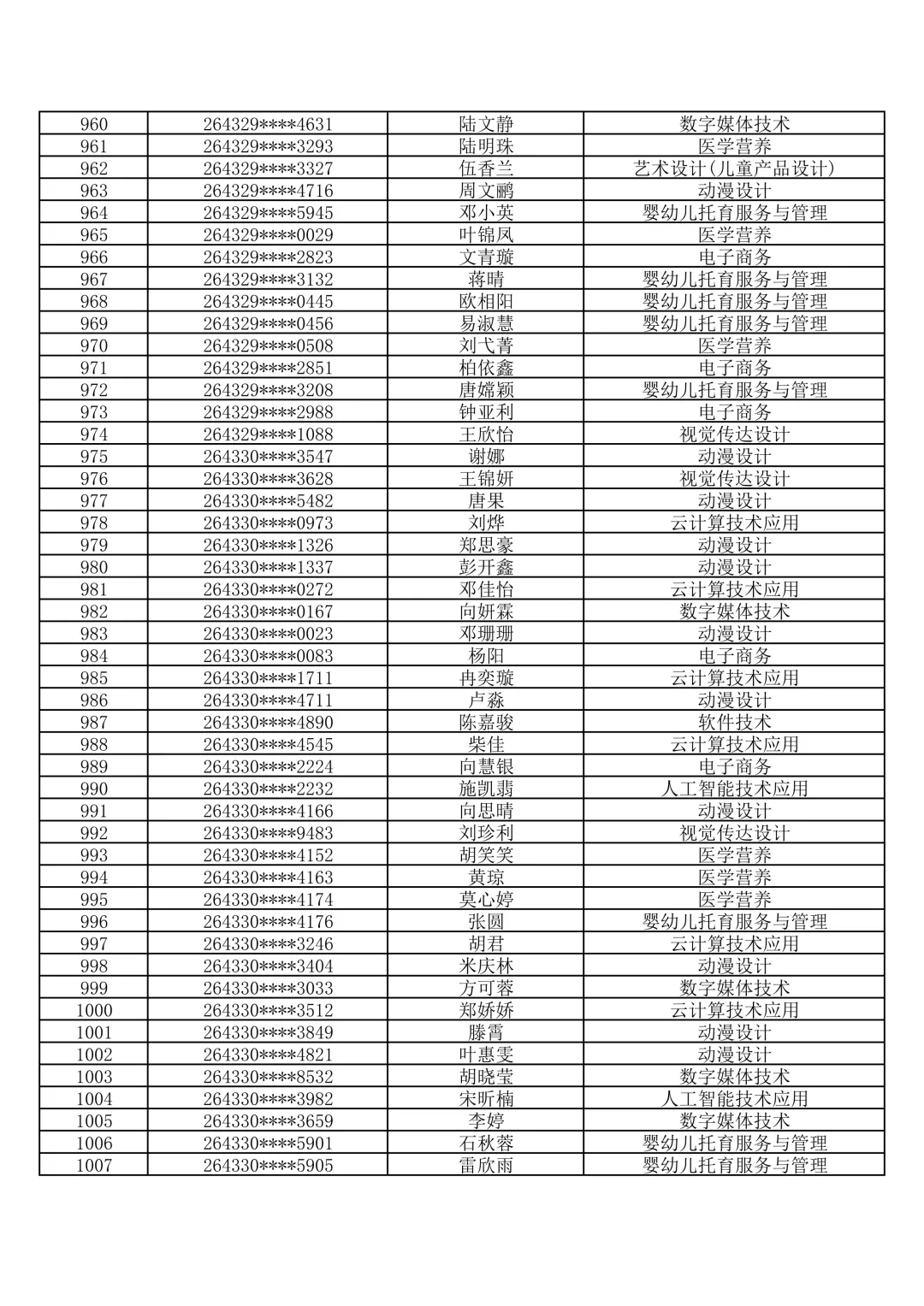
根据《长沙幼儿师范高等专科学校2026年高职单招章程》的相关规定,现将我校2026年单招第一志愿拟录取名单及录取分数线予以公布。最终录取名单以湖南省教育考试院4月7日17:00后在"潇湘高考"APP公布的为准。



注:录取时如遇总分相同,依次按考生职业技能测试成绩、文化素质成绩、语文和数学科目成绩之和、语文成绩、数学成绩、英语成绩顺序排序。


























03.其他说明




1.单招拟录取的考生在开学报到期间统一缴纳学费,我校不预收任何费用,任何预收费用的行为均属诈骗,谨防上当受骗。
2.请已录取的同学实名制加入学校新生QQ群:1022146240(学前教育学院)、690139834(艺术学院)、681944667(信息技术学院),方便接收后续相关通知。除上述公布的官方群外学校未建其他任何群聊。
3.单招录取的学生不得参加本年度统一高考和普通高校对口招生考试。
4.相关信息将在学校招生网发布,请考生、家长及时关注学校招生网。
招生咨询电话:0731-85657813、85649922
纪检监察处电话:0731-85657804
大家在备考过程中,可以把“湖南单招教育”微信公众号,推荐给身边需要单招的同学,这里很多文章对大家单招帮助会很大。

2026年湖南单招各院校一志愿报考人数汇总表!截至03-04下午16:00:00(最后一天)
长沙民政职业技术学院 2026年单招考试缴费及打印准考证指南

