2021年长沙小升初一道计算错题的思考

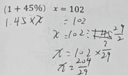
由于真题是我一个一个手动敲上去的,忘记改一个数字,原题应该是左边的,比较简单。实际做的时候,学生打印出来做的是右边的题目。两个题目类型应该是完全一样,只是最后有计算的较大差别。学生做的题,整数除以小数,无法除尽,需要用分数来表示最后的结果。我们来看看学生是如何处理的。

最不想看到的结果(直接改成真题了)

最后的计算错误

留白

用估算来替代最终结果




计算错误

分数小数互化错误

没有约分

正确解答,在前面就化成了分数。
后记:为什么就简单改了一个数字,计算的错误就如此多了?到底发生了什么,值得我们思考。