《电网技术》,值得信赖的电力学术期刊




LCC-HVDC换流站背景谐波影响的主动抑制方法/唐欣,刘鹏宇,屈贝,李珍,张睿宁
DOI:10.13335/j.1000-3673.pst.2024.0703
研究背景
随着特高压网架不断完善,空载变压器合闸、新能源并网等场景给LCC-HVDC换流站带来了严峻的背景谐波挑战。这些谐波不仅包括低次谐波和间谐波,还会通过换流器的频率耦合特性产生镜像谐波,引发一系列严重问题。传统抑制方法存在明显短板,多谐振控制器易导致系统失稳,PI控制对低频谐波抑制能力有限,而滤波器装置要么滤波范围受限,要么成本高昂,且部分滤波器还可能放大背景谐波,因此亟需一种适配LCC相控换流器的高效谐波抑制方案。
主要内容及创新点
针对上述研究背景,本文在背景谐波与换流器产生的同频、镜像谐波电流问题上,摒弃传统“提高增益”或“前馈补偿”的思路,提出“导纳模值减小”的核心抑制逻辑,具体思路如下:
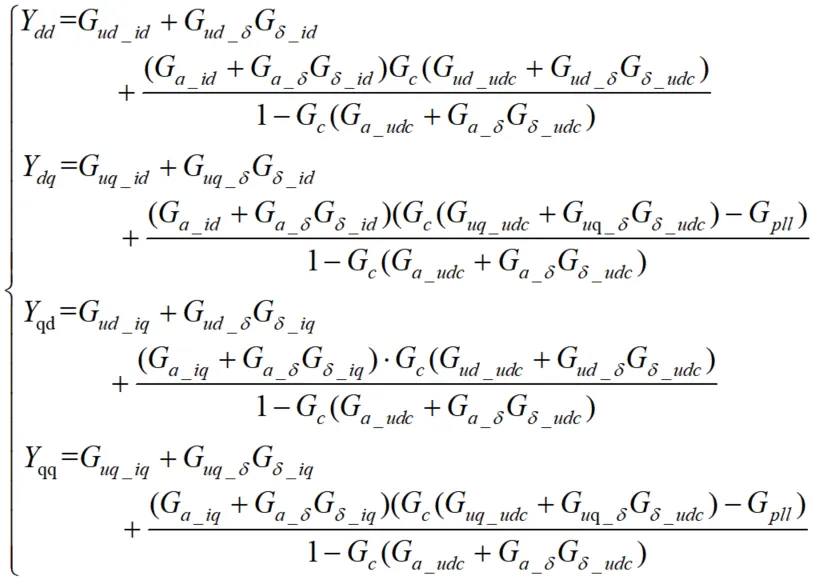
1)在考虑换相重叠角的前提下构建导纳模型,通过节点电压法推导换流器关键参数(交流电压、直流电流、延迟触发角等)间的传递函数,结合小信号建模方法,构建出dq坐标下LCC相控换流器的导纳模型:

(1)
2)提出“通过减小换流器导纳模值抑制背景谐波”的创新思路,在如图1所示控制环节引入双重重塑因子Hzpll以及Hzudq_a,分别抵消锁相环和电压环对低频段导纳的影响,实现导纳模型的精准重塑。

图1 加入重塑因子小信号框图
该方案无需额外增加硬件设备,仅通过控制策略优化,即可从源头削弱背景谐波引发的同频及镜像谐波电流,避免了传统方法的鲁棒性缺陷。
3)通过Matlab/Simulink仿真、Starsim半实物平台测试,验证了方案的有效性:注入10~120Hz低频谐波时,电流THD从最高13.93%降至1.45%以下。

图2 背景谐波加入重塑环节前后电流波形
同时提升了系统稳定性,即使在PI参数大幅调整、短路比低至1.46的极弱电网条件下,仍能保持稳定运行,打破了传统方法对电网强度的依赖限制。
03
研究结论
1)导纳重塑策略可有效抑制LCC-HVDC换流站的低频背景谐波,显著降低同频及镜像谐波电流含量,大幅减轻换流器电流应力与过流风险。
2)该方法通过优化控制环节,在提升谐波抑制效果的同时,增强了系统小干扰稳定性,且对弱电网、极弱电网均具有良好适应性。
3)所建导纳模型与仿真、实验结果高度吻合,为LCC换流器的谐波控制提供了可靠的理论支撑。
后续研究方向或讨论话题
本文工作的不足之处在于仅对低频谐波和间谐波抑制进行研究,由于本文所选建模方法的原因,对于可能存在的高频谐波抑制效果不明显,实际上本文所提出的导纳重塑思想对全频段谐波均有抑制作用,后续将立足于此,进一步研究全频段的背景谐波抑制。
参 文 格 式
唐欣,刘鹏宇,屈贝,等.LCC-HVDC换流站背景谐波影响的主动抑制方法[J].电网技术,2025,49(9):3788-3797.
TANG Xin,LIU Pengyu,QU Bei,et al.Active suppression method of background harmonic effect in LCC-HVDC converter station[J].Power System Technology,2025,49(9):3788-3797(in Chinese).相关文献扩展阅读
唐欣,李珍,唐凯璇,等.弱电网下提高并网变流器稳定性的导纳重塑方法[J].中国电机工程学报,2024,44(15):6123-6136.
李珍,唐欣,何洋,等.抑制电网背景谐波的变流器导纳重塑方法[J].中国电机工程学报,2024,44(2):704-714.
团队介绍

长沙理工大学电能变换与安全运行控制团队依托电网防灾减灾全国重点实验室从事新能源发电并网、直流输配电和储能电站安全运行控制等领域研究,团队入选了教育部课程思政教学名师团队,现有教授3人,承担国家自然科学基金11项,各类省部级基金及其他横向项目50余项,发表高水平论文200余篇,授权国家发明专利50余项,成果转化17项,获湖南省科学技术进步二等奖1项,湖南省教学成果二等奖1项。
作者简介

唐欣,博士生导师,电网防灾减灾全国重点实验室副主任,湖南省优秀教师。主要从事新能源并网技术和柔性直流配电技术研究,主持国家自然科学基金4项,发表论文80余篇,获多项省部级科技和教学成果奖励。

刘鹏宇,硕士研究生,研究方向为电力电子在电力系统中的应用。

屈贝,博士研究生,研究方向为直流微电网大信号稳定性分析及控制。
制作:毛 馨
责任编辑:马晓华
审核:李兰欣
本文为原创作品,所涉及文字及图片版权均属《电网技术》编辑部所有,根据国家版权局最新规定,纸媒、网站、微博、微信公众号转载、摘编我社的作品,务请提前联系我编辑部。个人请按本微信原文转发、分享。

