
根据《长沙幼儿师范高等专科学校2026年高职单招章程》的相关规定,现将我校2026年单招第一志愿拟录取名单及录取分数线予以公示,最终录取名单以湖南省教育考试院4月7日公布的为准。
一、长沙幼儿师范高等专科学校2026年单招拟录取名单
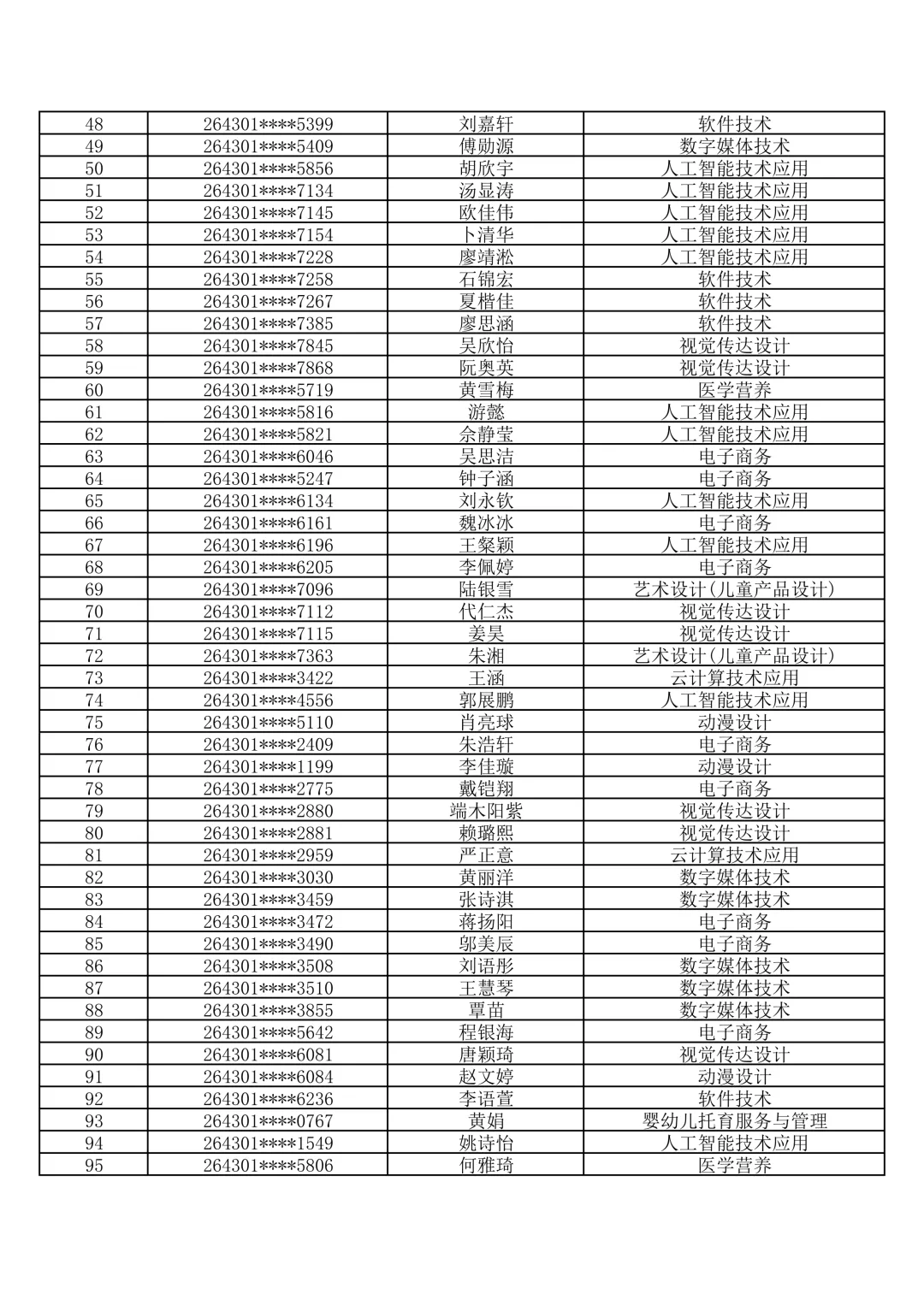
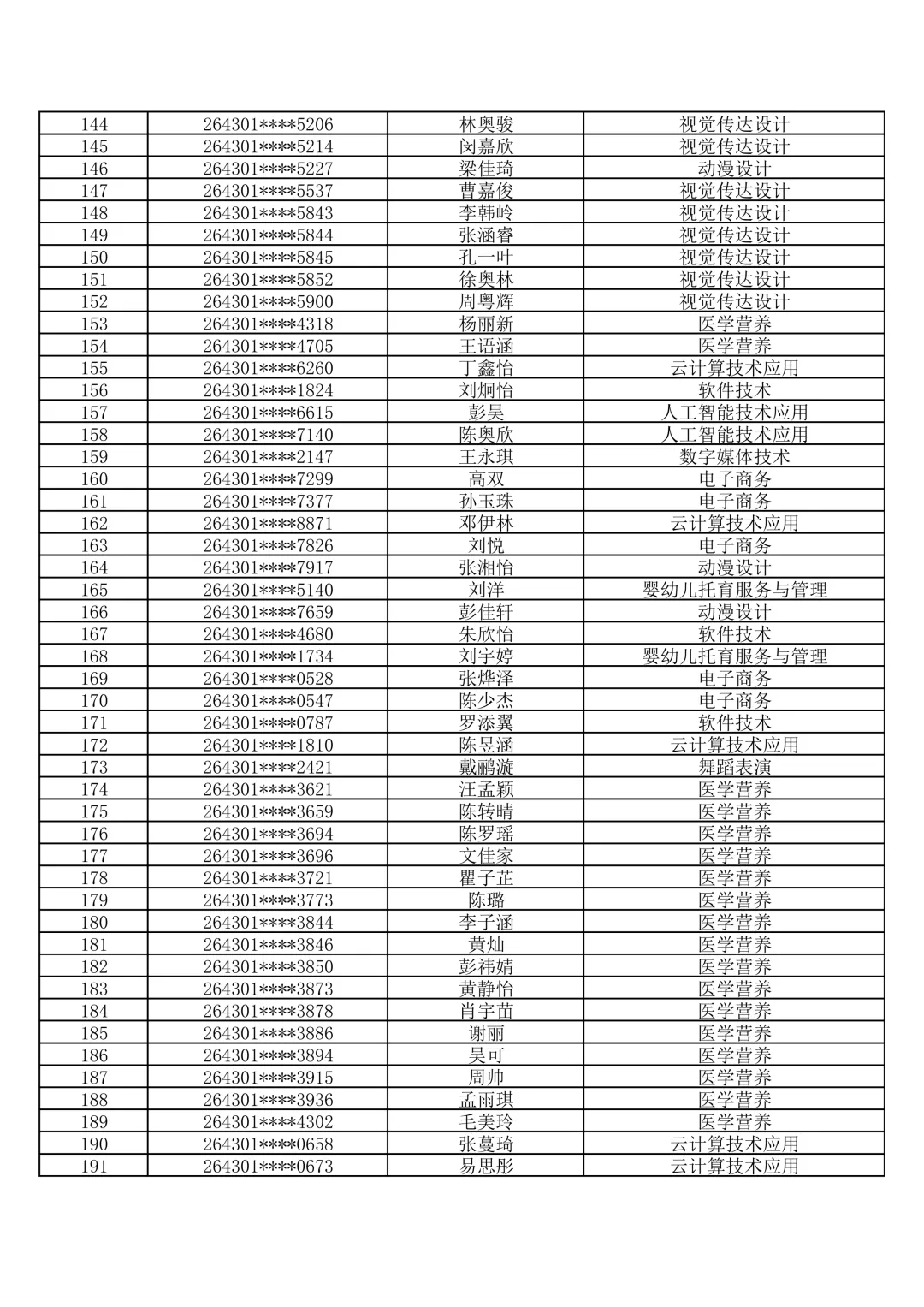
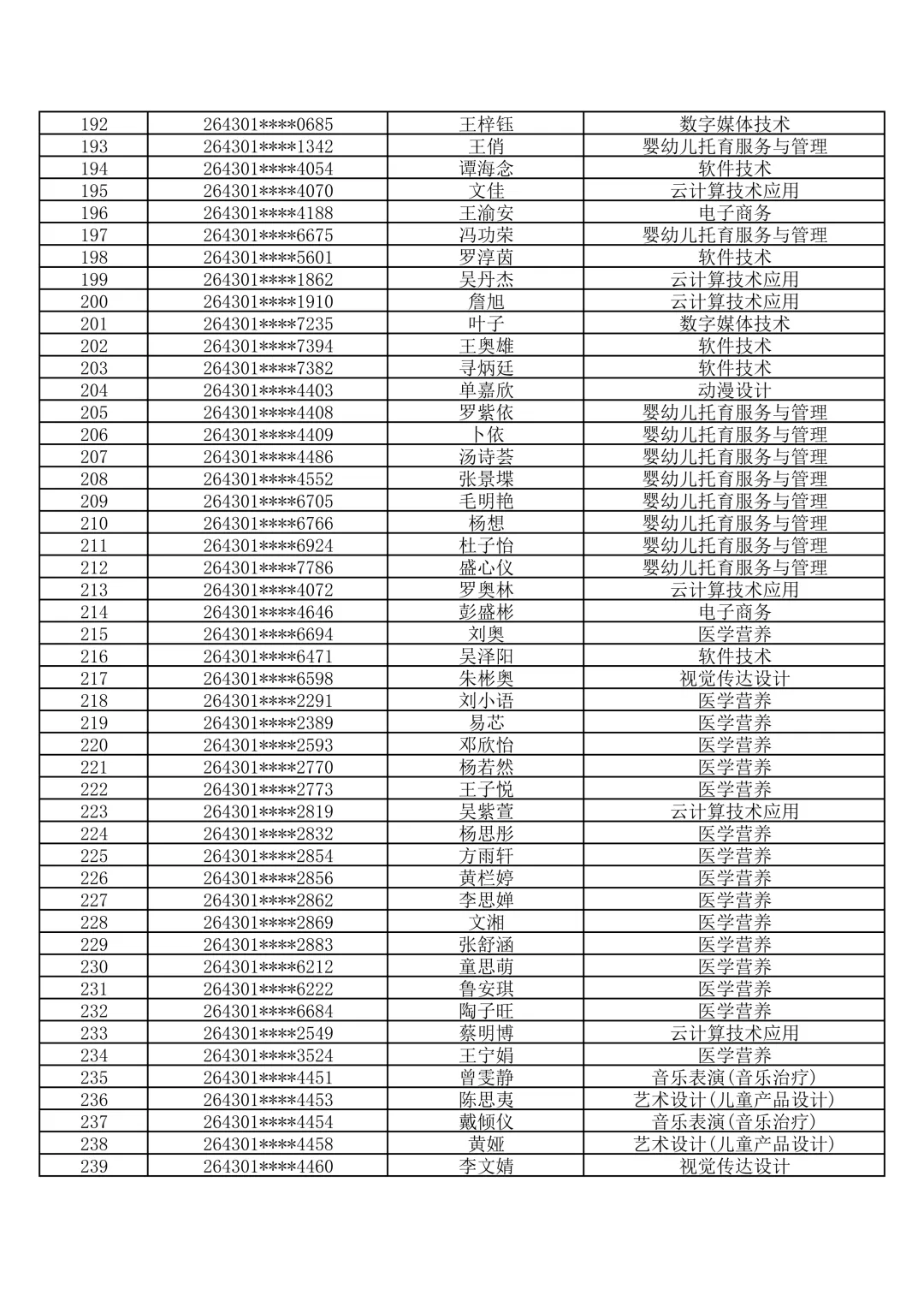
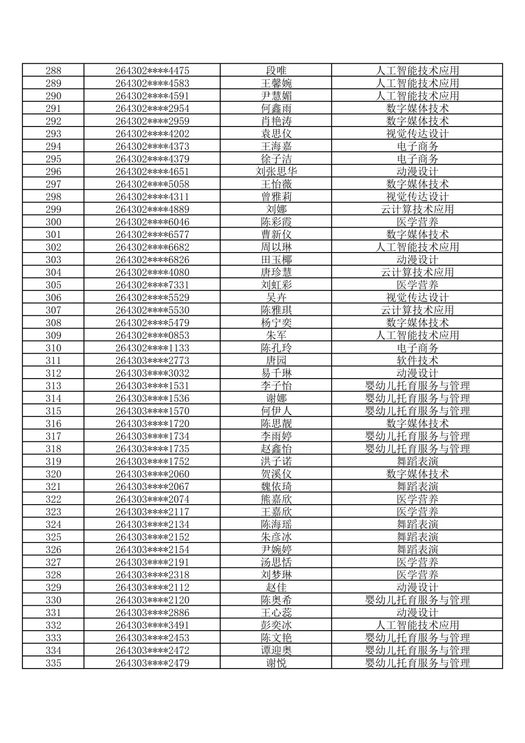
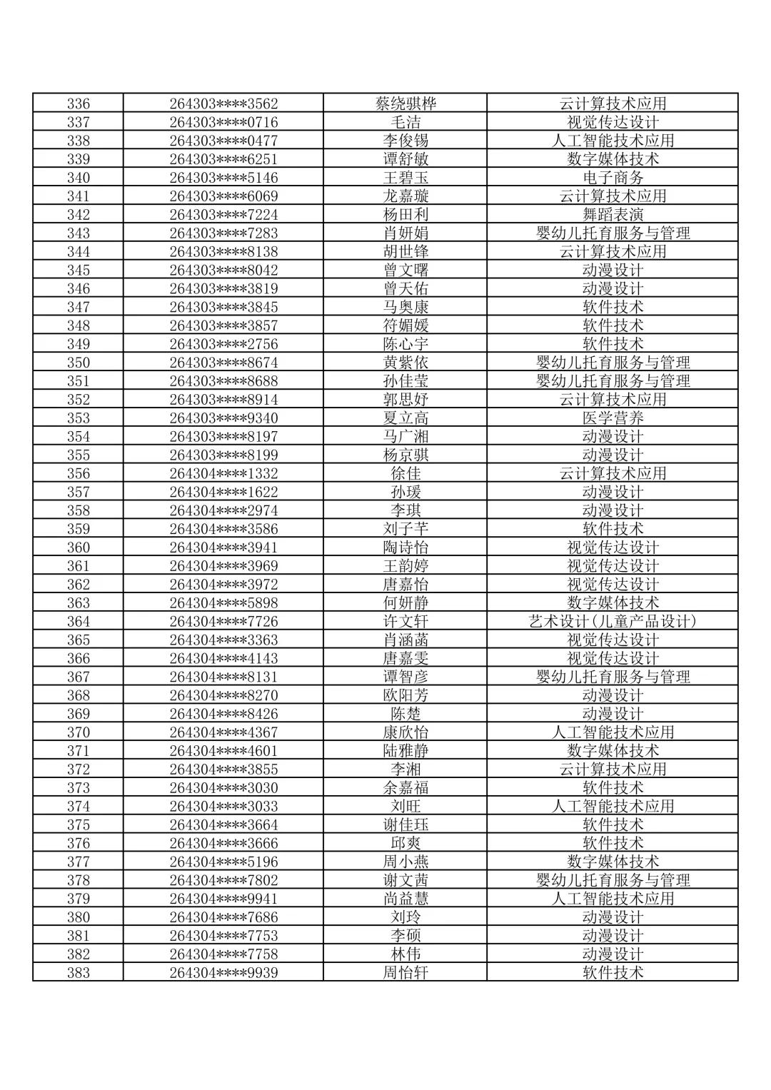
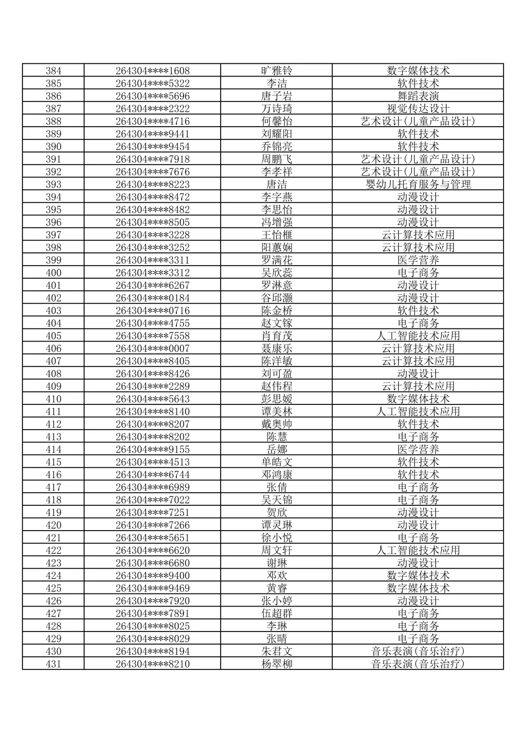
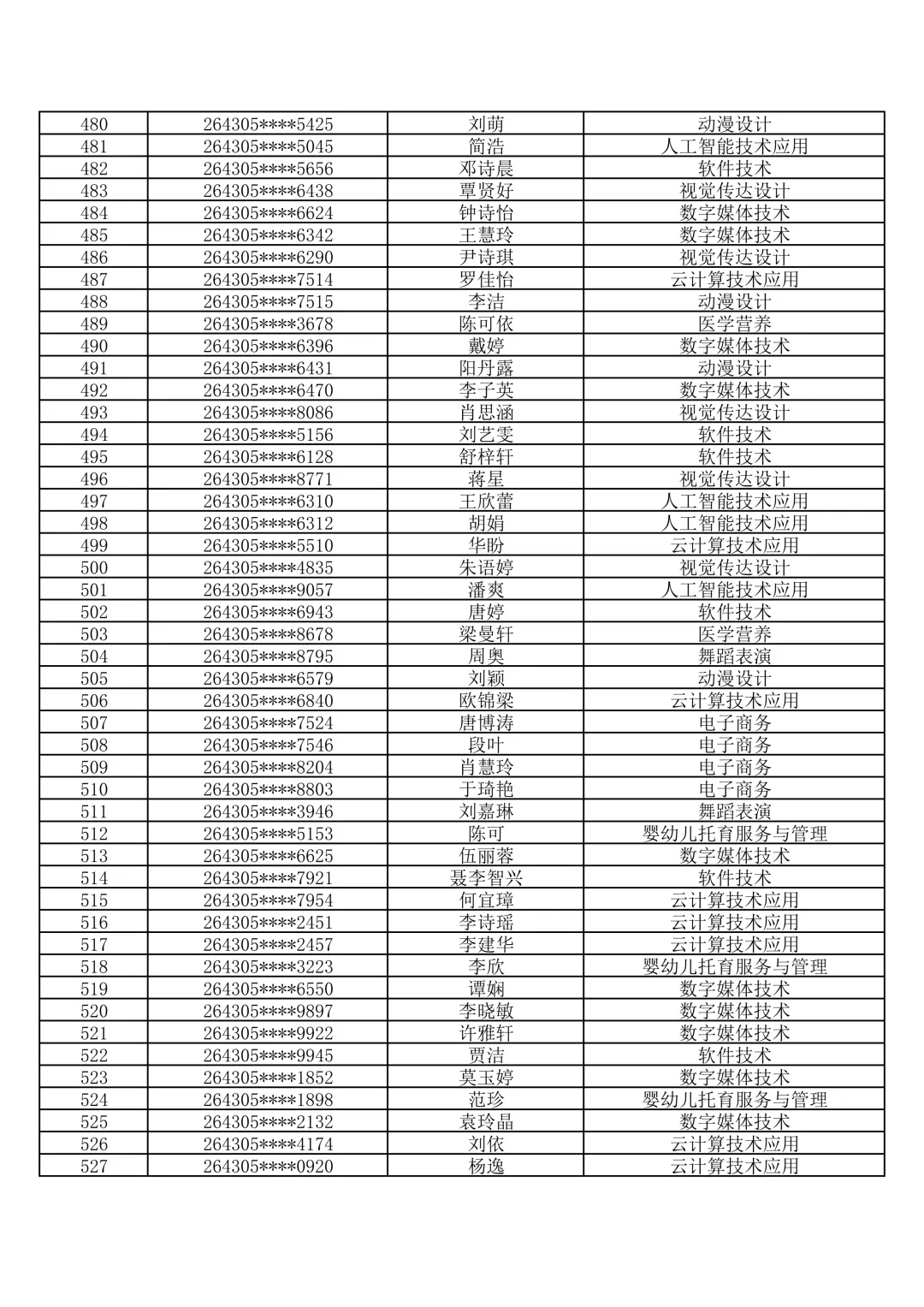
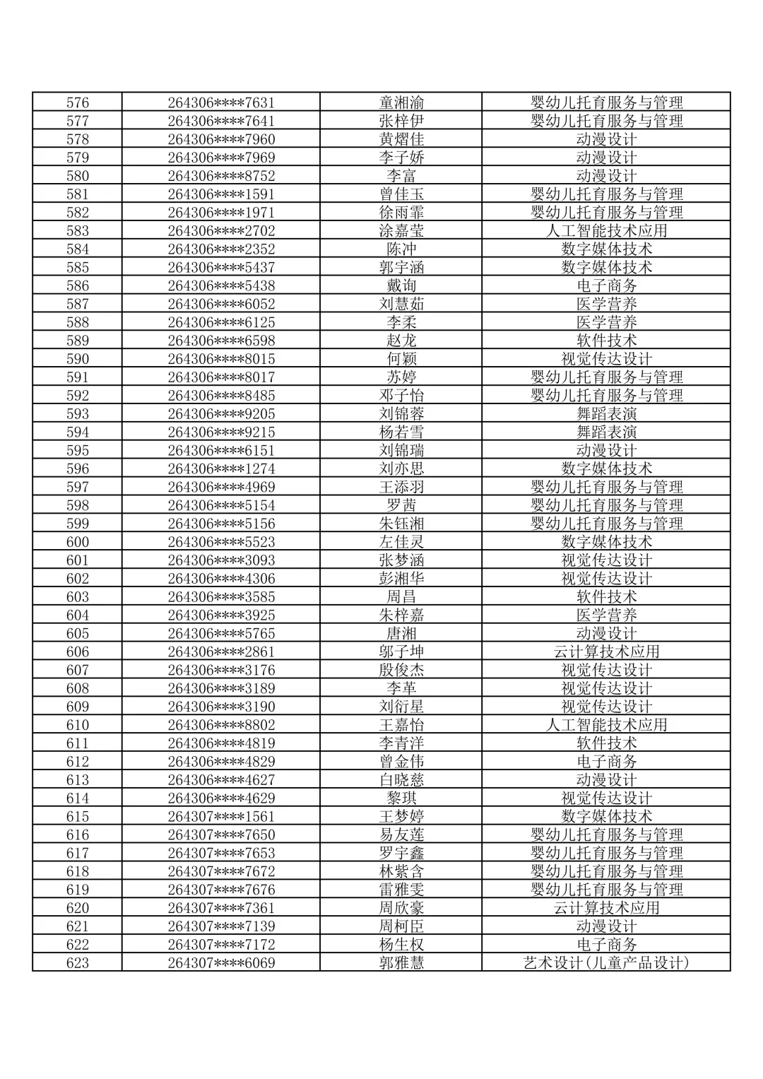
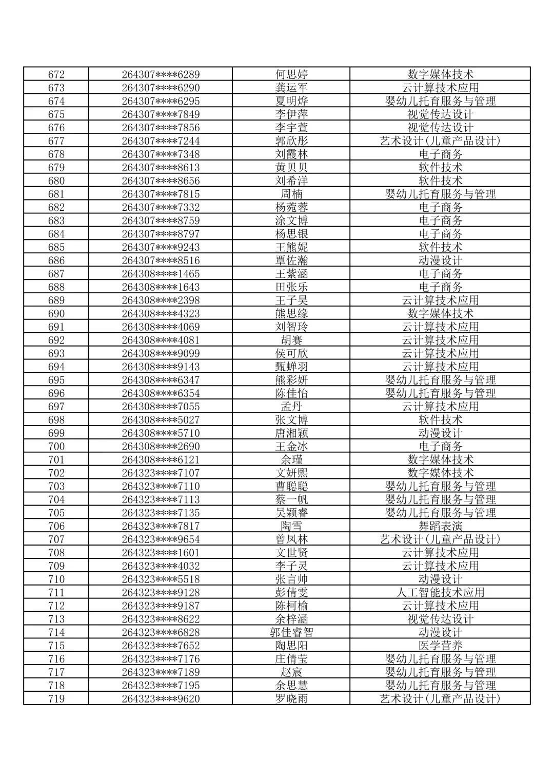
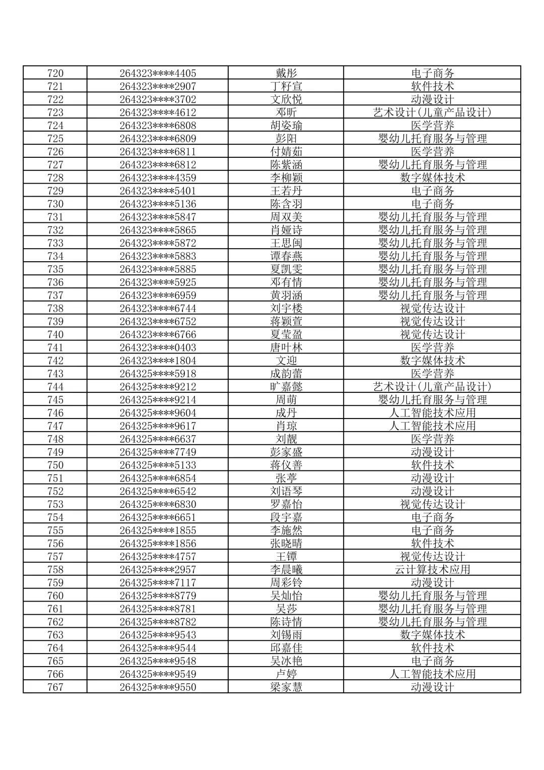
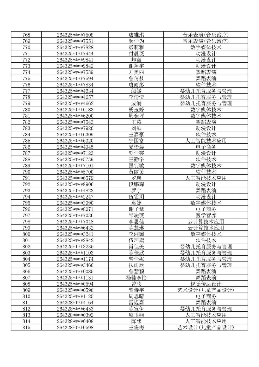
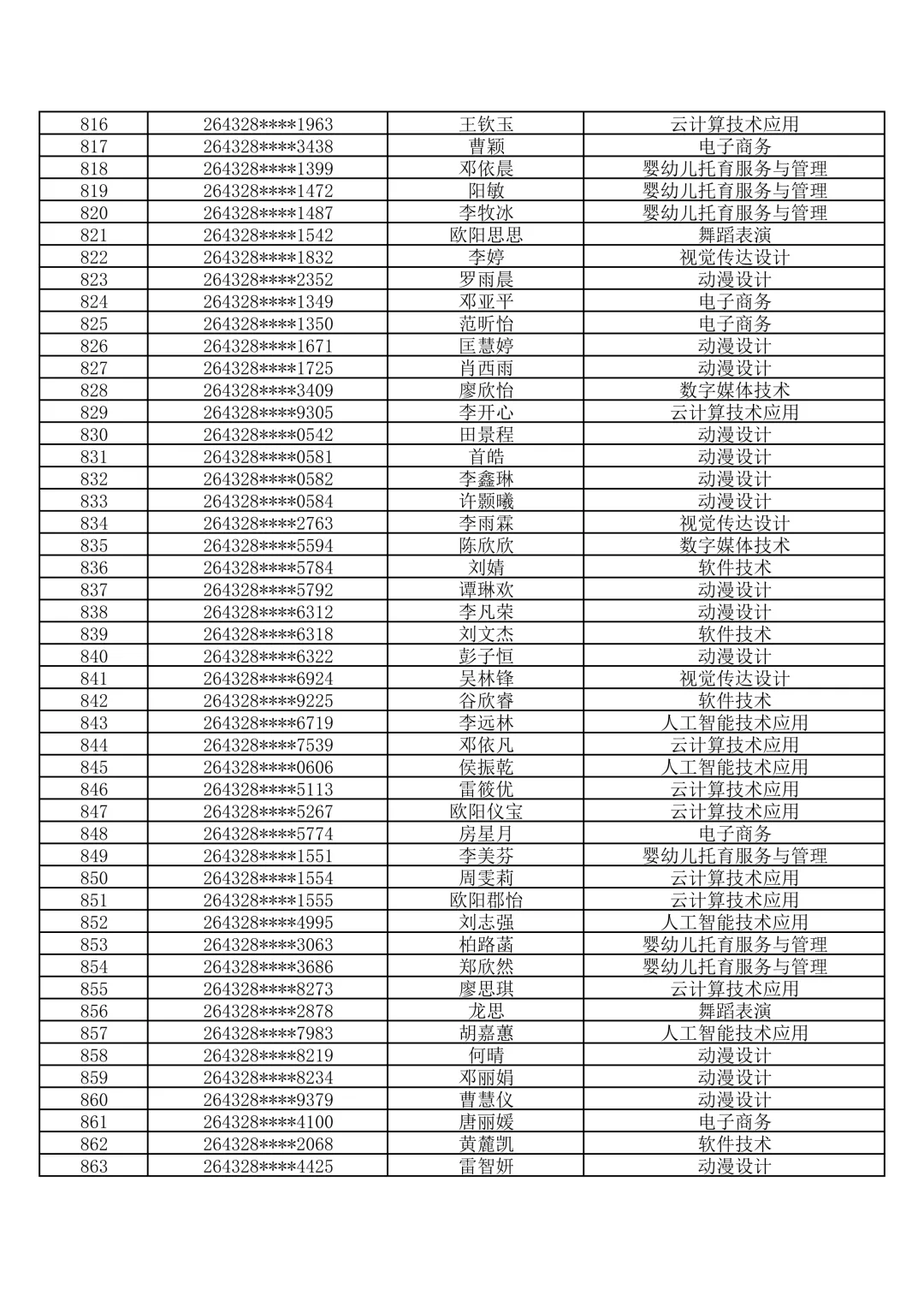
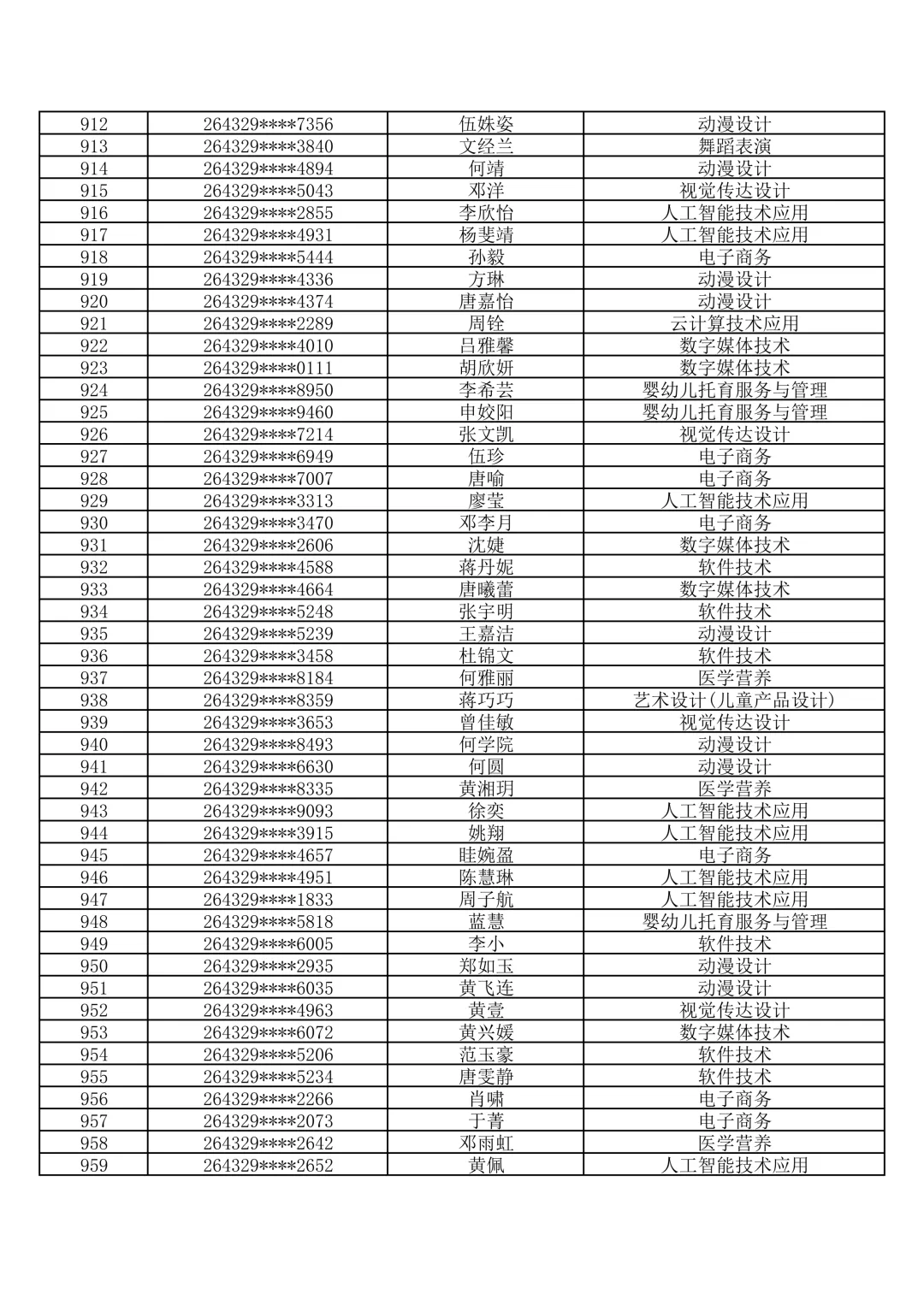
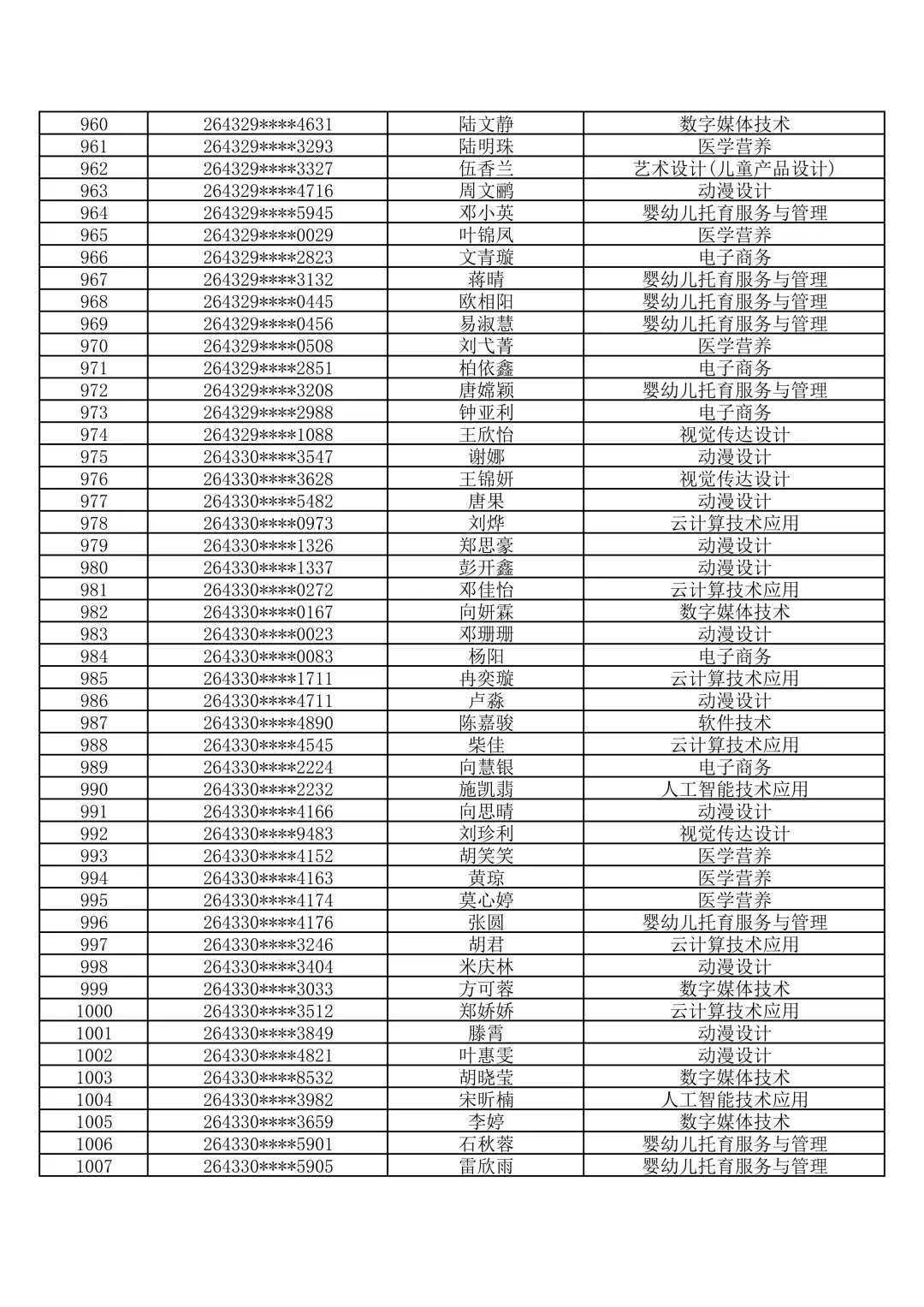
计划数1165人,一志愿拟录取1072人,详见附件。
二、长沙幼儿师范高等专科学校2026年单招录取分数线

注:录取时如遇总分相同,依次按考生职业技能测试成绩、文化素质成绩、语文和数学科目成绩之和、语文成绩、数学成绩、英语成绩顺序排序。
三、其他说明
1.单招拟录取的考生在开学报到期间统一缴纳学费,我校不预收任何费用,任何预收费用的行为均属招生诈骗,谨防上当受骗。
2.请已录取的同学实名制加入学校新生QQ群:1022146240(学前学院)、690139834(艺术学院)、681944667(信息学院),方便接收后续相关通知。
3.单招录取的学生不得参加本年度统一高考和普通高校对口招生考试。
4.相关信息将在官网发布,请考生、家长及时关注学校官网。
招生咨询电话:0731-85657813、85649922
纪检监察处电话:0731-85657804
长沙幼儿师范高等专科学校
2026年3月27日























