
中学数学星空、星空高中数学--热点数学问题的交流空间
致各位读者:因为公众号平台改变了推送规则,如果想正常看到“中学数学星空”的推送,可能需要大家在阅读后,在文末右下角点一下“在看”或者“星标”,我们每次的新文章才会第一时间出现在你的订阅列表里,人海茫茫,不想和大家错过。
一路走来,感恩相伴!
不知不觉,本公众号粉丝已突破21.8 万 +。
衷心感谢广大师生、家长长久以来的信任、支持与一路同行;也诚挚感谢所有参与资料编辑、内容策划的团队伙伴,默默深耕、用心付出,打磨每一份学习教研资源。
依托优质课程内容支持,我们一定凝心聚力,持续把公益教研、助学分享、资料共建的服务做得更稳、更长久。
新岁启新程,初心再出发。










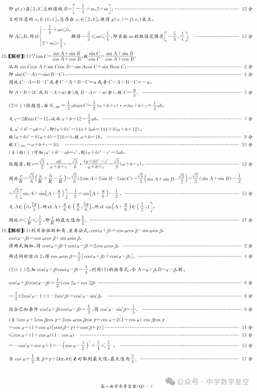
高一、高二试卷汇总
高一试卷
85.2026年3月浙江Z20 名校联盟高一数学卷及逐题解析
以前试卷:2025年8月以前高一、二试卷及解析汇集
高一、高二试卷汇总3
高二试卷解析
105.2026年3月湖北楚天协作体高二开学考数学卷及逐题解析
103.2026年3月河北邢台市卓越联盟高二开学考数学卷及逐题解析
102.2026年3月安徽省皖中地区高二开学考数学卷及逐题解析
101.2026年3月浙南名校联盟高二开学考数学卷及逐题解析
99.2026年3月浙江省名校协作体高二开学考数学卷及逐题解析
98.2026年3月浙江省强基联盟高二开学考数学卷及逐题解析
97.2026年3月浙江省杭州学军中学高二开学考数学卷及逐题解析
96.2026年3月浙江Z20 名校联盟高二数学卷及逐题解析
90.2026年2月浙江省杭州市五区高二期末数学卷及逐题解析
89.2026年2月浙江绍兴市上虞区高二期末数学卷及逐题解析
81.2026年2月浙江省杭州市高二期末考数学甲卷及逐题解析
80.2026年2月浙江省台州市高二期末考数学试卷及逐题解析
79.2026年2月浙江金华十校高二期末考数学试卷及逐题解析
68.2026年1月河南省周口市重点高中高二联考数学卷及全解析
61.2025年12月湖南天壹名校联盟高二联考数学卷及全解析
59.2025年12月浙江省北斗星联盟高二联考数学卷及全解析
58.2025年12月河北省邯郸市六校高二联考数学卷及全解析
56.2025年12月江西省十校协作体高二联考数学卷及全解析
51.2025年11月湖南省A佳教育联盟高二期中数学卷及全解析
48.2025年11月温州十校联合体高二期中联考数学卷及全解析
46.2025年11月宁波金兰合作高二期中联考数学卷及全解析
45.2025年11月温州环大罗山联盟高二期中数学卷及全解析
44.2025年11月浙江七彩阳光联盟高二期中数学卷及全解析
43.2025年11月浙江金砖联盟高二期中联考数学卷及全解析
42.2025年11月浙江S9 联盟高二期中联考数学卷及全解析
40.2025年11月浙江省卓越高中联盟高二期中数学卷及全解析
39.2025年11月浙江宁波市镇海中学高二期中数学卷及全解析
35.2025年11月浙江宁波六校联盟高二期中数学卷及全解析
34.2025年11月浙江省浙里特色联盟高二期中数学卷及全解析
33.2025年11月杭州及周边重点中学高二期中数学卷及全解析
30.2025年10月天一大联考高二测试(A卷)数学卷及全解析
22.2025年10月浙江省杭州学军中学高二独立检测卷及全解析
16.2025年10月湖南雅礼中学高二第一次模拟试卷及全解析
15.2025年10月福建厦门外国语学校高二10月试卷及全解析
14.2026届河南TOP二十名校高三数学试卷及全解析(2025.10)
13.2025年10月江苏省天一中学测试数学(强化班)试卷及全解析
6.2025年9月湖南省邵阳市高二拔尖创新班联考试卷及全解析
以前试卷:2025年8月以前高一、二试卷及解析汇集


