















陈飞 许兴华——《新高中数学同步全刷.必修一》(清华大学出版社).献给新高一的特别礼物
许兴华小说散文诗词选读(一)(数学老师写的小说、散文与诗词)
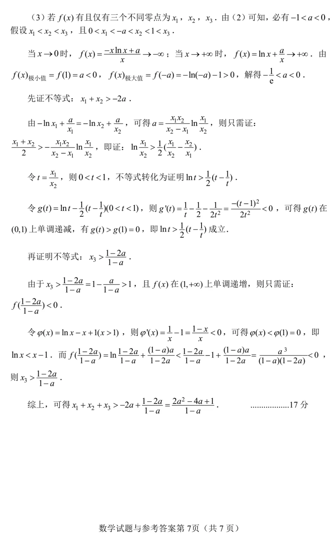
邹荣华 张宇:一道函数与对数综合题的多维度探究(许兴华数学)
【网络大争鸣2】张景中院士:不要人为制造困难@新教材8×3与3×8的争论又开始了(外一篇)
4陈飞 许兴华——直线与圆锥曲线综合问题的解题技巧(高考研究)

【投稿须知】公众号《许兴华数学》诚邀全国各地中小学数学教师、教研员和数学爱好者热情投稿!来稿时请注意以下五点:
(1)来稿请注明真实姓名、工作单位、联系方式(无具体工作单位和真实姓名的投稿,一般都不会采用)。
(2)来稿一般要求同时用word文档和PDF格式的电子稿件(防止不同版本的Word打开时出现乱码)。另外,也接受少数著名教师的手写稿(手写稿必须清晰可读)。
(3)每篇文章请认真审查复核,防止错误发生,来稿文责自负。如有抄袭,则有可能被举报并受到有关著作版权部门的追责。
(4)投稿邮箱:chinamatha@163.com;或加主编微信xuxinghua168投稿(加时请注明:投稿).
(5)本公众号对优秀作者和名师一般会附上“作者简介”,以让广大读者更好地了解作者的研究成果和方向,以便进一步学习作者的相关数学思想或解题方法。