当前位置:首页>长沙>【最新试卷】湖南长沙市雅礼中学2026届高三模拟预测数学试题

【最新试卷】湖南长沙市雅礼中学2026届高三模拟预测数学试题

  • 2026-03-22 16:23:01
【最新试卷】湖南长沙市雅礼中学2026届高三模拟预测数学试题

公众号后台发送消息“试卷”可获取试题文件!

公众号后台发送消息“试卷”可获取试题文件!

高一试卷汇总
【16】江西科技学院附属中学2025-2026学年高一(上)期末数学试题
【15】江西南昌二中2025-2026学年高一(上)期末考试数学试题
【14】江西师范大学附属中学2025-2026学年高一(上)期末数学试题
【13】湖南长沙长郡中学2025-2026学年高一(上)期末数学试题
【12】湖南长沙雅礼中学2025-2026学年高一(上)期末数学试题
【11】湖南省长沙市第一中学2025-2026学年高一(上)期末考试数学试题
【10】山东省烟台市2025-2026学年高一(上)期末考试数学试题
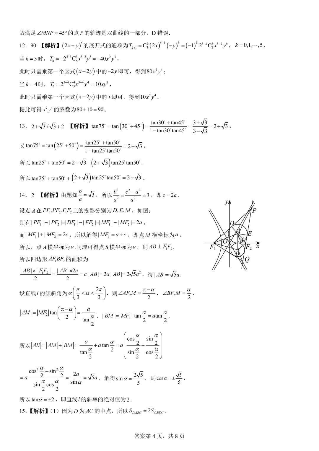
【9】浙江宁波镇海中学2025-2026学年高一(上)期末考试数学试题
【8】浙江省杭州第二中学2025-2026学年高一上学期12月月考数学试题
【7】江西2025年12月“三新”联考高一数学试题
【6】湖南长郡中学2025-2026学年高一上学期12月月考数学试题
【5】河南省郑州外国语学校2025-2026学年高一上学期期中考试数学试题
【4】浙江宁波镇海中学2025-2026学年上学期高一期中考试数学试卷
【3】湖南省长沙市雅礼中学2025-2026学年上学期高一期中考试数学试题
【2】湖南长郡中学2025-2026学年上学期高一期中考试数学试题
【1】长郡中学2025-2026学年高一(上)期中数学模拟试卷

高二试卷汇总
【19】江西科技学院附属中学2025-2026学年高二(上)期末数学试题
【18】江西师范大学附属中学2025-2026学年高二(上)期末数学试题
【17】江西南昌二中2025-2026学年高二(上)期末考试数学试题
【16】浙江宁波镇海中学2025-2026学年高二(上)期末考试数学试题
【15】湖南长沙雅礼中学2025-2026学年高二(上)期末数学试题
【14】江西省南昌中学2025-2026学年高二上学期12月月考数学试题
【13】江西2025年12月“三新”联考高二数学试题
【12】江西省临川第一中学2025-2026学年高二上学期期中考试数学试题
【11】河北省衡水中学2025-2026学年高二上学期12月月考数学试题
【10】河南省郑州外国语学校2025-2026学年高二上学期期中考试数学试题
【9】浙江省杭州第二中学2025-2026学年高二上学期期中考试数学试卷
【8】江西省南昌二中2025-2026学年高二上学期11月期中考试数学试题
【7】浙江省宁波市镇海中学2025-2026学年上学期高二期中考试数学试题
【6】华中师大一附中2025-2026学年上学期高二期中检测数学试题
【5】华中师大一附中2025-2026学年上学期高二期中检测数学试题
【4】杭州学军中学2025-2026学年上学期高二期中考试数学试题
【3】湖南省长沙市雅礼中学2025-2026学年上学期高二期中考试数学试题
【2】湖南省长沙市长郡中学2025-2026学年上学期高二期中考试数学试题
【1】江西师大附中2025~2026学年上学期高二期中考试数学试题

高三试卷汇总
【108】浙江宁波十校2026届高三3月联考数学试题
【107】江苏苏锡常镇四市2026届高三(下)一模考试数学试题
【106】浙江金丽衢十二校2026届高三第二次联考数学试题
【105】广东省2026年高考模拟测试(一)数学试题【104】江西省南昌市2026届高三一模考试数学试题
【103】广东省广州市2026届高三一模考试数学试题
【102】山东省青岛市2026届高三一模考试数学试题
【101】湖南怀化市2026届高三(下)第一次模拟考试数学试题
【100】山东淄博市2026届高三下学期模拟考试数学试题
【99】江西赣州市2026届高三下学期摸底考试数学试题
【98】湖北宜昌市2026届高三下学期3月调研考试数学试卷
【97】安徽江南十校2026届高三3月联考数学试卷
【96】湖北武汉2026届高三三月调研考试数学试题
【95】江苏扬州市2026届高三第一次调研测试数学试卷
【94】山东省烟台市2026届高三(下)高考诊断性测试数学试题
【93】江西省重点中学盟校2026届高三第一次质量检测数学试卷
【92】福建省福州市2026届高三三月质量检测数学试题
【91】湖南新高考教学教研联盟2026届高三(下)3月第一次联考数学试题
【90】浙江名校协作体G12联盟2026届高三3月联考数学试题
【89】广东深圳市2026届高三第一次调研考试数学试题
【88】江西省重点中学协作体2026届高三第一次联考数学试题
【87】湖南长沙雅礼中学2026届高三(下)开学考数学试题
【86】安徽A10联盟2026届高三2月开学考数学试题
【85】浙江七彩阳光联盟2026届高三(下)开学考数学试题
【84】浙江Z20名校联盟2026届高三第二次联考数学试题
【83】江西省南昌市2026届高三(上)期末考试数学试题
【82】山东潍坊市2026届高三上学期2月高考模拟考试数学试题
【81】江西省2026届高三2月诊断性考试数学试题(B卷)
【80】浙江金丽衢十二校2026届高三第一次联考数学试题
【79】湖南省长沙市2026届高三第一次模拟考试数学试题
【78】浙江杭州学军中学2026届高三(上)期末数学试题
【77】安徽省合肥市2026届高三第一次教学质量检测数学试题
【76】湖南长沙长郡中学2026届高三(上)期末数学试题
【75】江苏省镇江市2026届高三第一学期零模数学试题
【74】江西省九江市2026届高三第一次模拟考试数学试题
【73】安徽省黄山市2026届高三第一次质量检测数学试题
【72】山东省济南市2026届高三第一次模拟考试数学试题
【71】浙江省强基联盟2026年1月高三联考数学试题
【70】浙江宁波镇海中学2026届高三(上)期末考试数学试题
【69】广东省2026届高三1月适应性测试数学试题
【68】重庆市巴蜀中学2026届高三一模数学试题
【67】浙江金华十校2026届高三(上)期末调研考试数学试题
【66】江苏省扬州市2026届高三(上)期末考试数学试题
【65】广西南宁市2026届高三第一次适应性测试数学试题
【64】湖北省荆门市2026届高三上学期元月考试数学试题
【63】江西创智协作体2026年元月高三联合调研考试数学试题
【62】辽宁省大连市2026年高三双基模拟考试数学试题
【61】湖北省部分市州2026届高三上学期1月联考数学试题
【60】山东青岛2026届高三1月调研检测数学试题
【59】安徽省六校联考2026届高三上学期1月素质检测数学试题
【58】湖南长沙雅礼中学2026届高三上学期月考(五)数学试题
【57】湖南省名校联考联合体2026届高三1月联考数学试题
【56】河南省开封市2026届高三第一次质量检测数学试题
【55】九师联盟2026届高三第五次质量检测(1月)数学试题
【54】湖南长沙长郡中学2026届高三上学期月考(五)数学试题
【53】吉林省长春市2026届高三质量监测(一)数学试题
【52】2026年上海市春季招生统一文化考试(春季高考)数学试卷
【51】河南郑州2026届高三第一次质量预测数学试题(郑州一模)
【50】福建省部分高中学校2026届高考适应性考试(一模)数学试题
【49】重庆市巴蜀中学2026届高三上学期12月月考数学试题
【48】湖南长沙市第一中学2026届高三12月月考数学试题
【47】河北省衡水中学2025-2026学年高一上学期12月月考数学试题
【46】湖南长沙长郡中学2026届高三12月月考数学试卷
【45】湖南省湘一名校联盟2026届高三上学期12月质量检测数学试题
【44】福建省福州六校2026届高三12月联考数学试题
【43】江苏省基地学校2026届高三上学期第一次大联考数学试卷
【42】清华标准学术能力2026届高三12月诊断性测试数学试题
【41】河北省七校2026届高三上学期高考模拟联考数学试题
【40】河南省TOP二十名校联考2026届高三上学期调研考试数学试题
【39】江西“三新”联考2026届高三12月月考数学试题
【38】2026届高三第一次八省联考数学试题(T8联考)
【37】江西上进联考2026届高三12月诊断考试数学试卷
【36】成都市2026届高三第一次诊断性检测数学试卷
【35】广州市2026届高三调研测试数学试题(广州零模)
【34】安徽省皖南八校2026届高三上学期第二次大联考数学试题
【33】河南2026届高三12月青桐鸣大联考数学试题
【32】湖南长沙雅礼中学2026届高三上学期12月月考数学试题
【31】湖北省楚天协作体2025-2026学年高三上学期12月月考数学试题
【30】安徽合肥一中2026届高三12月份教学质量测评数学试题
【29】安徽省华师联盟2026届高三上学期12月质量检测数学试卷
【28】浙江省杭州学军中学2025-2026学年高一上学期12月月考数学试题
【27】湖北省十一校2026届高三上学期12月质量检测数学试题
【26】四川省成都市2025-2026学年高三一诊数学模拟试题
【25】河南省九师联盟2026届高三第四次质量检测数学试题
【24】广东省深圳中学2025-2026学年高三上学期第二次阶段考试数学试题
【23】广东省2026届高三12月第二次调研考试数学试题
【22】广东金太阳联盟2026届高三11月联考数学试题
【21】安徽省鼎尖名校2026届高三联考数学试卷
【20】江西省南昌二中2025-2026学年上学期高三期中考试数学试题
【19】湖南省名校联考联合体2026届高三上学期第三次联考数学试题
【18】华大新高考联盟2026届高三11月教学质量测评数学试题
【17】温州市2026届高三第一次适应性考试数学试题
【16】浙江省稽阳联谊学校2026届高三上学期11月联考数学试题
【15】山东省德州市部分学校2026届高三11月期中模拟考试数学试题
【14】河南省百师联盟2026届高三上学期11月阶段检测数学试题
【13】台州市2026届高三第一次教学质量评估数学试题
【12】安徽省九师联盟2025-2026学年高三上学期第三次质量检测数学试题
【11】江西赣州2026届高三(上)期中联考数学试题
【10】广东省深圳市2026届高三上学期模拟预测数学试题
【9】湖南湘东教学联盟2026届高三11月一模联考数学试题
【8】浙江丽水、湖州、衢州2026届高三11月教学质量检测数学试题
【7】金华十校2025年11月高三模拟考试数学试题
【6】宁波市2026届高三一模数学试卷
【5】湖南师范大学附属中学2026届高三上学期月考(三)数学试卷
【4】杭州市2026届高三一模数学试卷
【3】湖南省长沙市第一中学2026届高三上学期月考三数学试卷
【2】广东金太阳联盟2026高三10月联考数学试题
【1】四川绵阳2026届高三第一次诊断考试数学试题

最新文章

随机文章

基本 文件 流程 错误 SQL 调试
  1. 请求信息 : 2026-03-28 14:19:10 HTTP/2.0 GET : https://e.460.net.cn/a/495228.html
  2. 运行时间 : 0.214005s [ 吞吐率:4.67req/s ] 内存消耗:4,413.88kb 文件加载:140
  3. 缓存信息 : 0 reads,0 writes
  4. 会话信息 : SESSION_ID=e23d21126041a2f947ba8ce49cb3825a
  1. /yingpanguazai/ssd/ssd1/www/e.460.net.cn/public/index.php ( 0.79 KB )
  2. /yingpanguazai/ssd/ssd1/www/e.460.net.cn/vendor/autoload.php ( 0.17 KB )
  3. /yingpanguazai/ssd/ssd1/www/e.460.net.cn/vendor/composer/autoload_real.php ( 2.49 KB )
  4. /yingpanguazai/ssd/ssd1/www/e.460.net.cn/vendor/composer/platform_check.php ( 0.90 KB )
  5. /yingpanguazai/ssd/ssd1/www/e.460.net.cn/vendor/composer/ClassLoader.php ( 14.03 KB )
  6. /yingpanguazai/ssd/ssd1/www/e.460.net.cn/vendor/composer/autoload_static.php ( 4.90 KB )
  7. /yingpanguazai/ssd/ssd1/www/e.460.net.cn/vendor/topthink/think-helper/src/helper.php ( 8.34 KB )
  8. /yingpanguazai/ssd/ssd1/www/e.460.net.cn/vendor/topthink/think-validate/src/helper.php ( 2.19 KB )
  9. /yingpanguazai/ssd/ssd1/www/e.460.net.cn/vendor/topthink/think-orm/src/helper.php ( 1.47 KB )
  10. /yingpanguazai/ssd/ssd1/www/e.460.net.cn/vendor/topthink/think-orm/stubs/load_stubs.php ( 0.16 KB )
  11. /yingpanguazai/ssd/ssd1/www/e.460.net.cn/vendor/topthink/framework/src/think/Exception.php ( 1.69 KB )
  12. /yingpanguazai/ssd/ssd1/www/e.460.net.cn/vendor/topthink/think-container/src/Facade.php ( 2.71 KB )
  13. /yingpanguazai/ssd/ssd1/www/e.460.net.cn/vendor/symfony/deprecation-contracts/function.php ( 0.99 KB )
  14. /yingpanguazai/ssd/ssd1/www/e.460.net.cn/vendor/symfony/polyfill-mbstring/bootstrap.php ( 8.26 KB )
  15. /yingpanguazai/ssd/ssd1/www/e.460.net.cn/vendor/symfony/polyfill-mbstring/bootstrap80.php ( 9.78 KB )
  16. /yingpanguazai/ssd/ssd1/www/e.460.net.cn/vendor/symfony/var-dumper/Resources/functions/dump.php ( 1.49 KB )
  17. /yingpanguazai/ssd/ssd1/www/e.460.net.cn/vendor/topthink/think-dumper/src/helper.php ( 0.18 KB )
  18. /yingpanguazai/ssd/ssd1/www/e.460.net.cn/vendor/symfony/var-dumper/VarDumper.php ( 4.30 KB )
  19. /yingpanguazai/ssd/ssd1/www/e.460.net.cn/vendor/topthink/framework/src/think/App.php ( 15.30 KB )
  20. /yingpanguazai/ssd/ssd1/www/e.460.net.cn/vendor/topthink/think-container/src/Container.php ( 15.76 KB )
  21. /yingpanguazai/ssd/ssd1/www/e.460.net.cn/vendor/psr/container/src/ContainerInterface.php ( 1.02 KB )
  22. /yingpanguazai/ssd/ssd1/www/e.460.net.cn/app/provider.php ( 0.19 KB )
  23. /yingpanguazai/ssd/ssd1/www/e.460.net.cn/vendor/topthink/framework/src/think/Http.php ( 6.04 KB )
  24. /yingpanguazai/ssd/ssd1/www/e.460.net.cn/vendor/topthink/think-helper/src/helper/Str.php ( 7.29 KB )
  25. /yingpanguazai/ssd/ssd1/www/e.460.net.cn/vendor/topthink/framework/src/think/Env.php ( 4.68 KB )
  26. /yingpanguazai/ssd/ssd1/www/e.460.net.cn/app/common.php ( 0.03 KB )
  27. /yingpanguazai/ssd/ssd1/www/e.460.net.cn/vendor/topthink/framework/src/helper.php ( 18.78 KB )
  28. /yingpanguazai/ssd/ssd1/www/e.460.net.cn/vendor/topthink/framework/src/think/Config.php ( 5.54 KB )
  29. /yingpanguazai/ssd/ssd1/www/e.460.net.cn/config/app.php ( 0.95 KB )
  30. /yingpanguazai/ssd/ssd1/www/e.460.net.cn/config/cache.php ( 0.78 KB )
  31. /yingpanguazai/ssd/ssd1/www/e.460.net.cn/config/console.php ( 0.23 KB )
  32. /yingpanguazai/ssd/ssd1/www/e.460.net.cn/config/cookie.php ( 0.56 KB )
  33. /yingpanguazai/ssd/ssd1/www/e.460.net.cn/config/database.php ( 2.47 KB )
  34. /yingpanguazai/ssd/ssd1/www/e.460.net.cn/vendor/topthink/framework/src/think/facade/Env.php ( 1.67 KB )
  35. /yingpanguazai/ssd/ssd1/www/e.460.net.cn/config/filesystem.php ( 0.61 KB )
  36. /yingpanguazai/ssd/ssd1/www/e.460.net.cn/config/lang.php ( 0.91 KB )
  37. /yingpanguazai/ssd/ssd1/www/e.460.net.cn/config/log.php ( 1.35 KB )
  38. /yingpanguazai/ssd/ssd1/www/e.460.net.cn/config/middleware.php ( 0.19 KB )
  39. /yingpanguazai/ssd/ssd1/www/e.460.net.cn/config/route.php ( 1.89 KB )
  40. /yingpanguazai/ssd/ssd1/www/e.460.net.cn/config/session.php ( 0.57 KB )
  41. /yingpanguazai/ssd/ssd1/www/e.460.net.cn/config/trace.php ( 0.34 KB )
  42. /yingpanguazai/ssd/ssd1/www/e.460.net.cn/config/view.php ( 0.82 KB )
  43. /yingpanguazai/ssd/ssd1/www/e.460.net.cn/app/event.php ( 0.25 KB )
  44. /yingpanguazai/ssd/ssd1/www/e.460.net.cn/vendor/topthink/framework/src/think/Event.php ( 7.67 KB )
  45. /yingpanguazai/ssd/ssd1/www/e.460.net.cn/app/service.php ( 0.13 KB )
  46. /yingpanguazai/ssd/ssd1/www/e.460.net.cn/app/AppService.php ( 0.26 KB )
  47. /yingpanguazai/ssd/ssd1/www/e.460.net.cn/vendor/topthink/framework/src/think/Service.php ( 1.64 KB )
  48. /yingpanguazai/ssd/ssd1/www/e.460.net.cn/vendor/topthink/framework/src/think/Lang.php ( 7.35 KB )
  49. /yingpanguazai/ssd/ssd1/www/e.460.net.cn/vendor/topthink/framework/src/lang/zh-cn.php ( 13.70 KB )
  50. /yingpanguazai/ssd/ssd1/www/e.460.net.cn/vendor/topthink/framework/src/think/initializer/Error.php ( 3.31 KB )
  51. /yingpanguazai/ssd/ssd1/www/e.460.net.cn/vendor/topthink/framework/src/think/initializer/RegisterService.php ( 1.33 KB )
  52. /yingpanguazai/ssd/ssd1/www/e.460.net.cn/vendor/services.php ( 0.14 KB )
  53. /yingpanguazai/ssd/ssd1/www/e.460.net.cn/vendor/topthink/framework/src/think/service/PaginatorService.php ( 1.52 KB )
  54. /yingpanguazai/ssd/ssd1/www/e.460.net.cn/vendor/topthink/framework/src/think/service/ValidateService.php ( 0.99 KB )
  55. /yingpanguazai/ssd/ssd1/www/e.460.net.cn/vendor/topthink/framework/src/think/service/ModelService.php ( 2.04 KB )
  56. /yingpanguazai/ssd/ssd1/www/e.460.net.cn/vendor/topthink/think-trace/src/Service.php ( 0.77 KB )
  57. /yingpanguazai/ssd/ssd1/www/e.460.net.cn/vendor/topthink/framework/src/think/Middleware.php ( 6.72 KB )
  58. /yingpanguazai/ssd/ssd1/www/e.460.net.cn/vendor/topthink/framework/src/think/initializer/BootService.php ( 0.77 KB )
  59. /yingpanguazai/ssd/ssd1/www/e.460.net.cn/vendor/topthink/think-orm/src/Paginator.php ( 11.86 KB )
  60. /yingpanguazai/ssd/ssd1/www/e.460.net.cn/vendor/topthink/think-validate/src/Validate.php ( 63.20 KB )
  61. /yingpanguazai/ssd/ssd1/www/e.460.net.cn/vendor/topthink/think-orm/src/Model.php ( 23.55 KB )
  62. /yingpanguazai/ssd/ssd1/www/e.460.net.cn/vendor/topthink/think-orm/src/model/concern/Attribute.php ( 21.05 KB )
  63. /yingpanguazai/ssd/ssd1/www/e.460.net.cn/vendor/topthink/think-orm/src/model/concern/AutoWriteData.php ( 4.21 KB )
  64. /yingpanguazai/ssd/ssd1/www/e.460.net.cn/vendor/topthink/think-orm/src/model/concern/Conversion.php ( 6.44 KB )
  65. /yingpanguazai/ssd/ssd1/www/e.460.net.cn/vendor/topthink/think-orm/src/model/concern/DbConnect.php ( 5.16 KB )
  66. /yingpanguazai/ssd/ssd1/www/e.460.net.cn/vendor/topthink/think-orm/src/model/concern/ModelEvent.php ( 2.33 KB )
  67. /yingpanguazai/ssd/ssd1/www/e.460.net.cn/vendor/topthink/think-orm/src/model/concern/RelationShip.php ( 28.29 KB )
  68. /yingpanguazai/ssd/ssd1/www/e.460.net.cn/vendor/topthink/think-helper/src/contract/Arrayable.php ( 0.09 KB )
  69. /yingpanguazai/ssd/ssd1/www/e.460.net.cn/vendor/topthink/think-helper/src/contract/Jsonable.php ( 0.13 KB )
  70. /yingpanguazai/ssd/ssd1/www/e.460.net.cn/vendor/topthink/think-orm/src/model/contract/Modelable.php ( 0.09 KB )
  71. /yingpanguazai/ssd/ssd1/www/e.460.net.cn/vendor/topthink/framework/src/think/Db.php ( 2.88 KB )
  72. /yingpanguazai/ssd/ssd1/www/e.460.net.cn/vendor/topthink/think-orm/src/DbManager.php ( 8.52 KB )
  73. /yingpanguazai/ssd/ssd1/www/e.460.net.cn/vendor/topthink/framework/src/think/Log.php ( 6.28 KB )
  74. /yingpanguazai/ssd/ssd1/www/e.460.net.cn/vendor/topthink/framework/src/think/Manager.php ( 3.92 KB )
  75. /yingpanguazai/ssd/ssd1/www/e.460.net.cn/vendor/psr/log/src/LoggerTrait.php ( 2.69 KB )
  76. /yingpanguazai/ssd/ssd1/www/e.460.net.cn/vendor/psr/log/src/LoggerInterface.php ( 2.71 KB )
  77. /yingpanguazai/ssd/ssd1/www/e.460.net.cn/vendor/topthink/framework/src/think/Cache.php ( 4.92 KB )
  78. /yingpanguazai/ssd/ssd1/www/e.460.net.cn/vendor/psr/simple-cache/src/CacheInterface.php ( 4.71 KB )
  79. /yingpanguazai/ssd/ssd1/www/e.460.net.cn/vendor/topthink/think-helper/src/helper/Arr.php ( 16.63 KB )
  80. /yingpanguazai/ssd/ssd1/www/e.460.net.cn/vendor/topthink/framework/src/think/cache/driver/File.php ( 7.84 KB )
  81. /yingpanguazai/ssd/ssd1/www/e.460.net.cn/vendor/topthink/framework/src/think/cache/Driver.php ( 9.03 KB )
  82. /yingpanguazai/ssd/ssd1/www/e.460.net.cn/vendor/topthink/framework/src/think/contract/CacheHandlerInterface.php ( 1.99 KB )
  83. /yingpanguazai/ssd/ssd1/www/e.460.net.cn/app/Request.php ( 0.09 KB )
  84. /yingpanguazai/ssd/ssd1/www/e.460.net.cn/vendor/topthink/framework/src/think/Request.php ( 55.78 KB )
  85. /yingpanguazai/ssd/ssd1/www/e.460.net.cn/app/middleware.php ( 0.25 KB )
  86. /yingpanguazai/ssd/ssd1/www/e.460.net.cn/vendor/topthink/framework/src/think/Pipeline.php ( 2.61 KB )
  87. /yingpanguazai/ssd/ssd1/www/e.460.net.cn/vendor/topthink/think-trace/src/TraceDebug.php ( 3.40 KB )
  88. /yingpanguazai/ssd/ssd1/www/e.460.net.cn/vendor/topthink/framework/src/think/middleware/SessionInit.php ( 1.94 KB )
  89. /yingpanguazai/ssd/ssd1/www/e.460.net.cn/vendor/topthink/framework/src/think/Session.php ( 1.80 KB )
  90. /yingpanguazai/ssd/ssd1/www/e.460.net.cn/vendor/topthink/framework/src/think/session/driver/File.php ( 6.27 KB )
  91. /yingpanguazai/ssd/ssd1/www/e.460.net.cn/vendor/topthink/framework/src/think/contract/SessionHandlerInterface.php ( 0.87 KB )
  92. /yingpanguazai/ssd/ssd1/www/e.460.net.cn/vendor/topthink/framework/src/think/session/Store.php ( 7.12 KB )
  93. /yingpanguazai/ssd/ssd1/www/e.460.net.cn/vendor/topthink/framework/src/think/Route.php ( 23.73 KB )
  94. /yingpanguazai/ssd/ssd1/www/e.460.net.cn/vendor/topthink/framework/src/think/route/RuleName.php ( 5.75 KB )
  95. /yingpanguazai/ssd/ssd1/www/e.460.net.cn/vendor/topthink/framework/src/think/route/Domain.php ( 2.53 KB )
  96. /yingpanguazai/ssd/ssd1/www/e.460.net.cn/vendor/topthink/framework/src/think/route/RuleGroup.php ( 22.43 KB )
  97. /yingpanguazai/ssd/ssd1/www/e.460.net.cn/vendor/topthink/framework/src/think/route/Rule.php ( 26.95 KB )
  98. /yingpanguazai/ssd/ssd1/www/e.460.net.cn/vendor/topthink/framework/src/think/route/RuleItem.php ( 9.78 KB )
  99. /yingpanguazai/ssd/ssd1/www/e.460.net.cn/route/app.php ( 1.72 KB )
  100. /yingpanguazai/ssd/ssd1/www/e.460.net.cn/vendor/topthink/framework/src/think/facade/Route.php ( 4.70 KB )
  101. /yingpanguazai/ssd/ssd1/www/e.460.net.cn/vendor/topthink/framework/src/think/route/dispatch/Controller.php ( 4.74 KB )
  102. /yingpanguazai/ssd/ssd1/www/e.460.net.cn/vendor/topthink/framework/src/think/route/Dispatch.php ( 10.44 KB )
  103. /yingpanguazai/ssd/ssd1/www/e.460.net.cn/app/controller/Index.php ( 4.81 KB )
  104. /yingpanguazai/ssd/ssd1/www/e.460.net.cn/app/BaseController.php ( 2.05 KB )
  105. /yingpanguazai/ssd/ssd1/www/e.460.net.cn/vendor/topthink/think-orm/src/facade/Db.php ( 0.93 KB )
  106. /yingpanguazai/ssd/ssd1/www/e.460.net.cn/vendor/topthink/think-orm/src/db/connector/Mysql.php ( 5.44 KB )
  107. /yingpanguazai/ssd/ssd1/www/e.460.net.cn/vendor/topthink/think-orm/src/db/PDOConnection.php ( 52.47 KB )
  108. /yingpanguazai/ssd/ssd1/www/e.460.net.cn/vendor/topthink/think-orm/src/db/Connection.php ( 8.39 KB )
  109. /yingpanguazai/ssd/ssd1/www/e.460.net.cn/vendor/topthink/think-orm/src/db/ConnectionInterface.php ( 4.57 KB )
  110. /yingpanguazai/ssd/ssd1/www/e.460.net.cn/vendor/topthink/think-orm/src/db/builder/Mysql.php ( 16.58 KB )
  111. /yingpanguazai/ssd/ssd1/www/e.460.net.cn/vendor/topthink/think-orm/src/db/Builder.php ( 24.06 KB )
  112. /yingpanguazai/ssd/ssd1/www/e.460.net.cn/vendor/topthink/think-orm/src/db/BaseBuilder.php ( 27.50 KB )
  113. /yingpanguazai/ssd/ssd1/www/e.460.net.cn/vendor/topthink/think-orm/src/db/Query.php ( 15.71 KB )
  114. /yingpanguazai/ssd/ssd1/www/e.460.net.cn/vendor/topthink/think-orm/src/db/BaseQuery.php ( 45.13 KB )
  115. /yingpanguazai/ssd/ssd1/www/e.460.net.cn/vendor/topthink/think-orm/src/db/concern/TimeFieldQuery.php ( 7.43 KB )
  116. /yingpanguazai/ssd/ssd1/www/e.460.net.cn/vendor/topthink/think-orm/src/db/concern/AggregateQuery.php ( 3.26 KB )
  117. /yingpanguazai/ssd/ssd1/www/e.460.net.cn/vendor/topthink/think-orm/src/db/concern/ModelRelationQuery.php ( 20.07 KB )
  118. /yingpanguazai/ssd/ssd1/www/e.460.net.cn/vendor/topthink/think-orm/src/db/concern/ParamsBind.php ( 3.66 KB )
  119. /yingpanguazai/ssd/ssd1/www/e.460.net.cn/vendor/topthink/think-orm/src/db/concern/ResultOperation.php ( 7.01 KB )
  120. /yingpanguazai/ssd/ssd1/www/e.460.net.cn/vendor/topthink/think-orm/src/db/concern/WhereQuery.php ( 19.37 KB )
  121. /yingpanguazai/ssd/ssd1/www/e.460.net.cn/vendor/topthink/think-orm/src/db/concern/JoinAndViewQuery.php ( 7.11 KB )
  122. /yingpanguazai/ssd/ssd1/www/e.460.net.cn/vendor/topthink/think-orm/src/db/concern/TableFieldInfo.php ( 2.63 KB )
  123. /yingpanguazai/ssd/ssd1/www/e.460.net.cn/vendor/topthink/think-orm/src/db/concern/Transaction.php ( 2.77 KB )
  124. /yingpanguazai/ssd/ssd1/www/e.460.net.cn/vendor/topthink/framework/src/think/log/driver/File.php ( 5.96 KB )
  125. /yingpanguazai/ssd/ssd1/www/e.460.net.cn/vendor/topthink/framework/src/think/contract/LogHandlerInterface.php ( 0.86 KB )
  126. /yingpanguazai/ssd/ssd1/www/e.460.net.cn/vendor/topthink/framework/src/think/log/Channel.php ( 3.89 KB )
  127. /yingpanguazai/ssd/ssd1/www/e.460.net.cn/vendor/topthink/framework/src/think/event/LogRecord.php ( 1.02 KB )
  128. /yingpanguazai/ssd/ssd1/www/e.460.net.cn/vendor/topthink/think-helper/src/Collection.php ( 16.47 KB )
  129. /yingpanguazai/ssd/ssd1/www/e.460.net.cn/vendor/topthink/framework/src/think/facade/View.php ( 1.70 KB )
  130. /yingpanguazai/ssd/ssd1/www/e.460.net.cn/vendor/topthink/framework/src/think/View.php ( 4.39 KB )
  131. /yingpanguazai/ssd/ssd1/www/e.460.net.cn/vendor/topthink/framework/src/think/Response.php ( 8.81 KB )
  132. /yingpanguazai/ssd/ssd1/www/e.460.net.cn/vendor/topthink/framework/src/think/response/View.php ( 3.29 KB )
  133. /yingpanguazai/ssd/ssd1/www/e.460.net.cn/vendor/topthink/framework/src/think/Cookie.php ( 6.06 KB )
  134. /yingpanguazai/ssd/ssd1/www/e.460.net.cn/vendor/topthink/think-view/src/Think.php ( 8.38 KB )
  135. /yingpanguazai/ssd/ssd1/www/e.460.net.cn/vendor/topthink/framework/src/think/contract/TemplateHandlerInterface.php ( 1.60 KB )
  136. /yingpanguazai/ssd/ssd1/www/e.460.net.cn/vendor/topthink/think-template/src/Template.php ( 46.61 KB )
  137. /yingpanguazai/ssd/ssd1/www/e.460.net.cn/vendor/topthink/think-template/src/template/driver/File.php ( 2.41 KB )
  138. /yingpanguazai/ssd/ssd1/www/e.460.net.cn/vendor/topthink/think-template/src/template/contract/DriverInterface.php ( 0.86 KB )
  139. /yingpanguazai/ssd/ssd1/www/e.460.net.cn/runtime/temp/58d7cf2308c7c7dcdfb7495b4c084c05.php ( 11.98 KB )
  140. /yingpanguazai/ssd/ssd1/www/e.460.net.cn/vendor/topthink/think-trace/src/Html.php ( 4.42 KB )
  1. CONNECT:[ UseTime:0.000950s ] mysql:host=127.0.0.1;port=3306;dbname=e460;charset=utf8mb4
  2. SHOW FULL COLUMNS FROM `fenlei` [ RunTime:0.001460s ]
  3. SELECT * FROM `fenlei` WHERE `fid` = 0 [ RunTime:0.010087s ]
  4. SELECT * FROM `fenlei` WHERE `fid` = 63 [ RunTime:0.000782s ]
  5. SHOW FULL COLUMNS FROM `set` [ RunTime:0.001361s ]
  6. SELECT * FROM `set` [ RunTime:0.000607s ]
  7. SHOW FULL COLUMNS FROM `article` [ RunTime:0.001467s ]
  8. SELECT * FROM `article` WHERE `id` = 495228 LIMIT 1 [ RunTime:0.009737s ]
  9. UPDATE `article` SET `lasttime` = 1774678750 WHERE `id` = 495228 [ RunTime:0.001576s ]
  10. SELECT * FROM `fenlei` WHERE `id` = 64 LIMIT 1 [ RunTime:0.000685s ]
  11. SELECT * FROM `article` WHERE `id` < 495228 ORDER BY `id` DESC LIMIT 1 [ RunTime:0.001258s ]
  12. SELECT * FROM `article` WHERE `id` > 495228 ORDER BY `id` ASC LIMIT 1 [ RunTime:0.004078s ]
  13. SELECT * FROM `article` WHERE `id` < 495228 ORDER BY `id` DESC LIMIT 10 [ RunTime:0.001877s ]
  14. SELECT * FROM `article` WHERE `id` < 495228 ORDER BY `id` DESC LIMIT 10,10 [ RunTime:0.010365s ]
  15. SELECT * FROM `article` WHERE `id` < 495228 ORDER BY `id` DESC LIMIT 20,10 [ RunTime:0.002733s ]
0.217649s